Open Access

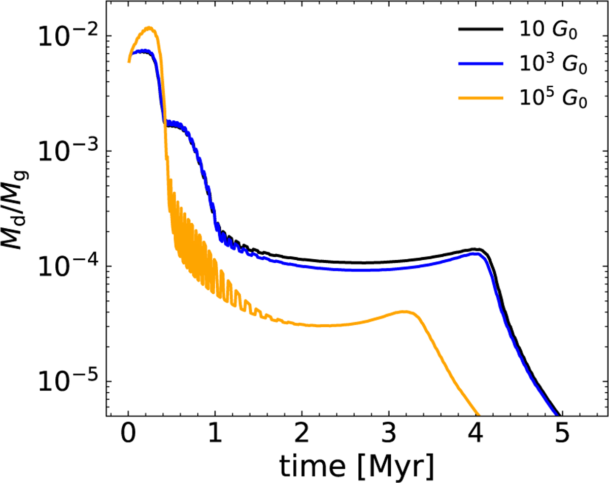
Fig. 8

image

Download original image

Time evolution of total mass ratio of dust (Md) to gas (Mg) for the different FUV fields. The black, blue, and orange lines indicate the results for FUV = 10 G0, 103 G0, 105 G0. The see-saw pattern is caused by condensation and sublimation of H2O ice, silicates, and refractory materials.

Current usage metrics show cumulative count of Article Views (full-text article views including HTML views, PDF and ePub downloads, according to the available data) and Abstracts Views on Vision4Press platform.

Data correspond to usage on the plateform after 2015. The current usage metrics is available 48-96 hours after online publication and is updated daily on week days.

Initial download of the metrics may take a while.