Open Access

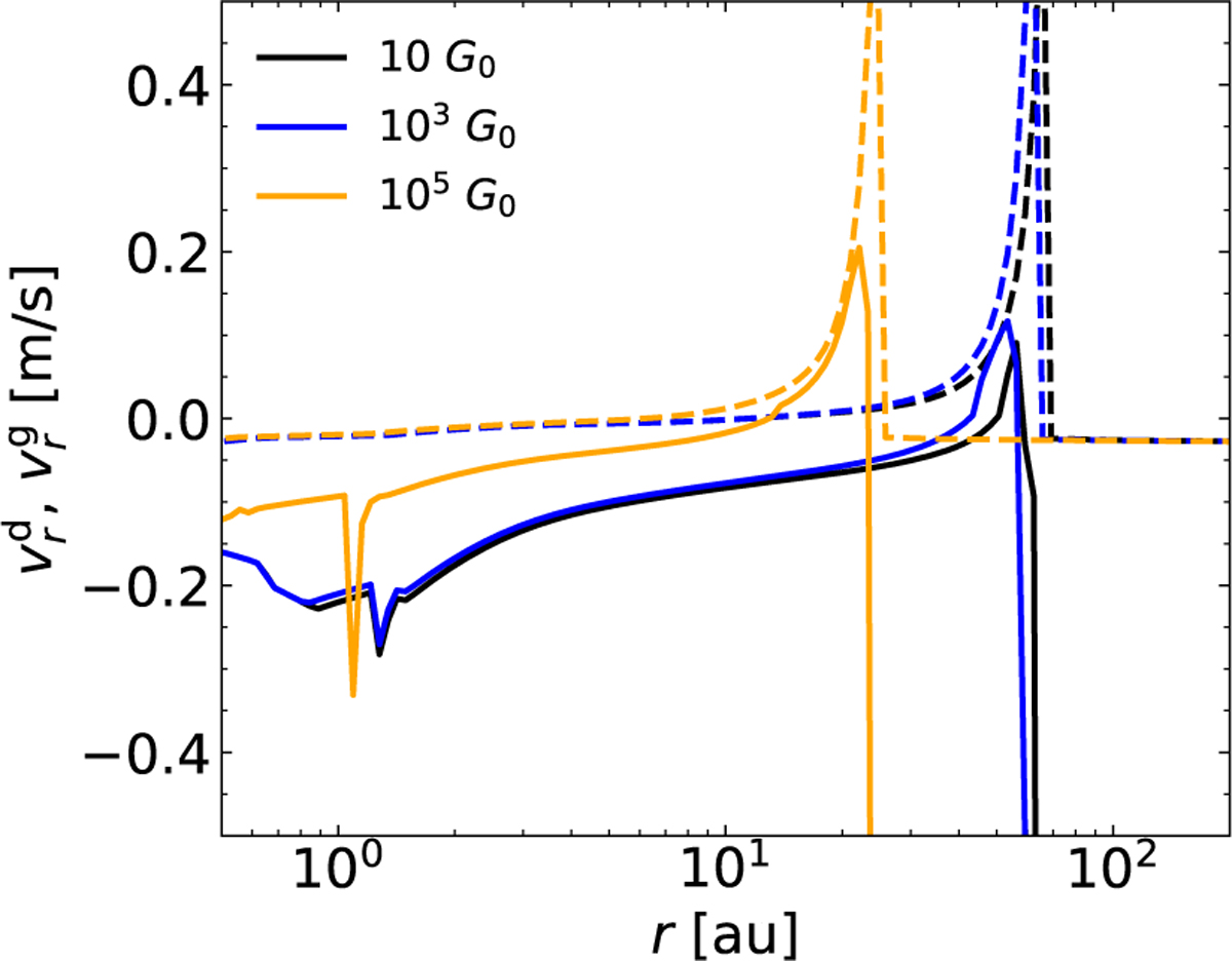
Fig. 9

image

Download original image

Radial velocities of gas and dust at 2 Myr for the different FUV fields. The black, blue, and orange lines indicate the results for FUV = 10 G0, 103 G0, 105 G0. The solid and dashed lines show the radial velocities of dust and gas. The positive value indicates the outward velocity, and the negative value indicates the inward velocity.

Current usage metrics show cumulative count of Article Views (full-text article views including HTML views, PDF and ePub downloads, according to the available data) and Abstracts Views on Vision4Press platform.

Data correspond to usage on the plateform after 2015. The current usage metrics is available 48-96 hours after online publication and is updated daily on week days.

Initial download of the metrics may take a while.