Open Access

Fig. 3.

image

Download original image

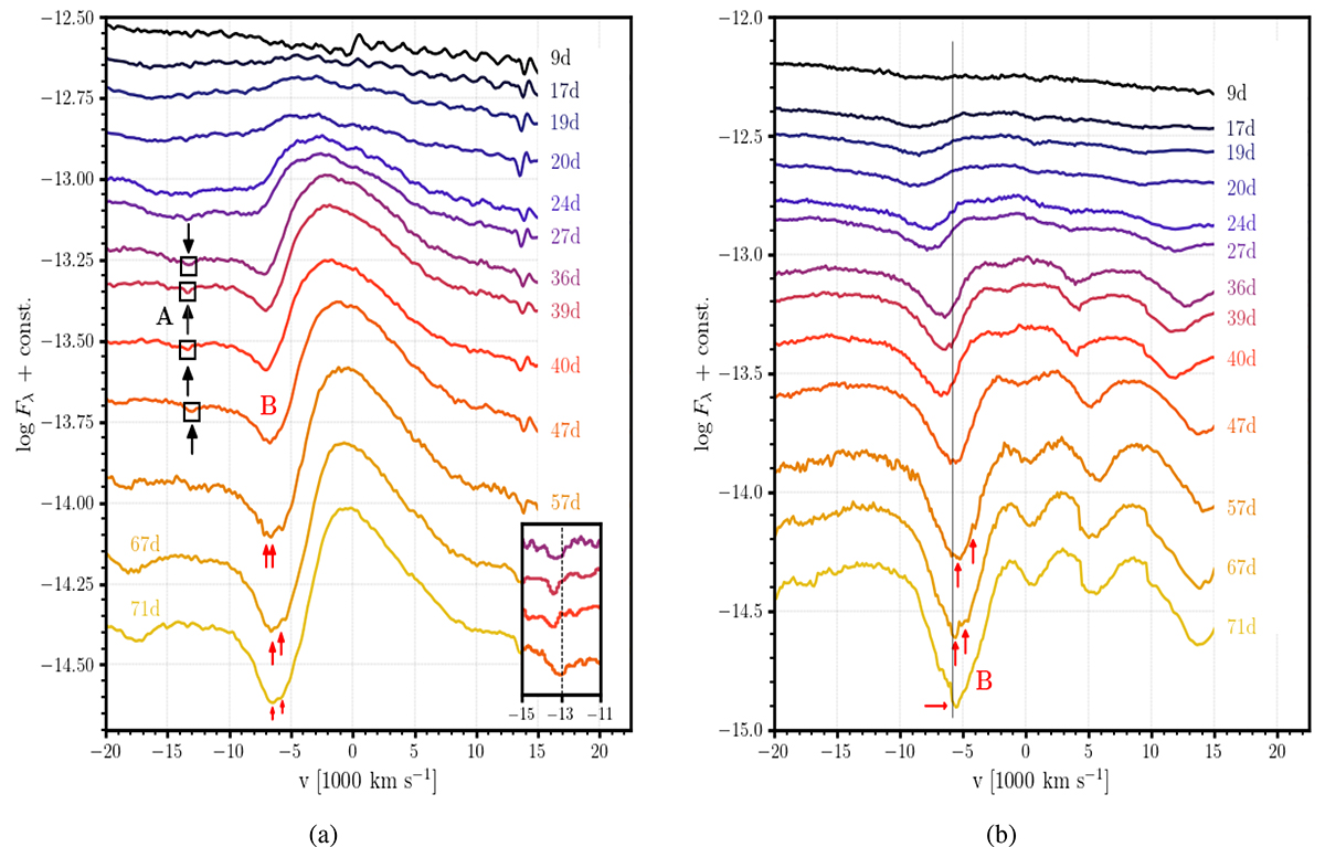
Line profiles of H α(a) and H β(b) of SN 2023ixf. Of particular interest are a “dip” (“B” marked in red) on the blue side of the profile with velocities of ∼−6000 km s−1 at 57, 67, and 71 d, and a weak absorption feature (“A” marked in black with boxes) at high velocity (−12 000 km s−1) between 27 and 57 d (see Leonard et al. 2002, also the HV in SN 1999em). These features (indicated by arrows and labeled “A” and “B”) are called “Cahitos” (see Gutiérrez et al. 2017). These feature are caused by interactions, geometry, and viewing angles between the reverse shock, the CSM and ejecta (Chugai et al. 2004). The epochs are labeled on the right. The inset at the bottom right corner shows “A” cachito features at 36, 39, 40, and 47 d. The absorption-like features at 14 000 km s−1 in H α are due to telluric absorption.

Current usage metrics show cumulative count of Article Views (full-text article views including HTML views, PDF and ePub downloads, according to the available data) and Abstracts Views on Vision4Press platform.

Data correspond to usage on the plateform after 2015. The current usage metrics is available 48-96 hours after online publication and is updated daily on week days.

Initial download of the metrics may take a while.