Open Access

Fig. B.4

image

Download original image

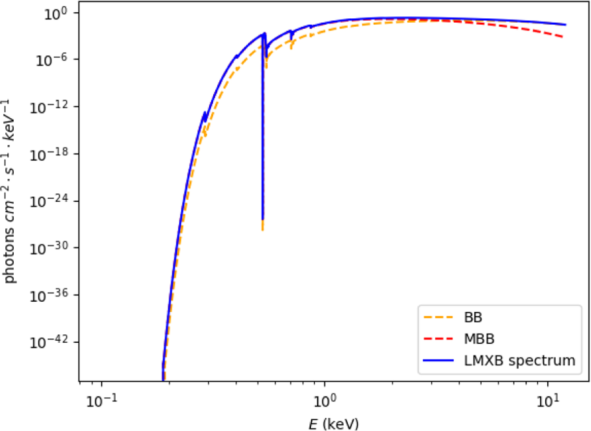
Power spectrum of the LMXB GX5-1. This spectrum (blue line) is the result of the sum of a hard component represented by a black body (dashed black line) and a soft component represented by a multicolor black body (dashed red line). The spectrum also takes into account an absorption coefficient depending on the NH density at D = 4.7 kpc.

Current usage metrics show cumulative count of Article Views (full-text article views including HTML views, PDF and ePub downloads, according to the available data) and Abstracts Views on Vision4Press platform.

Data correspond to usage on the plateform after 2015. The current usage metrics is available 48-96 hours after online publication and is updated daily on week days.

Initial download of the metrics may take a while.