Open Access

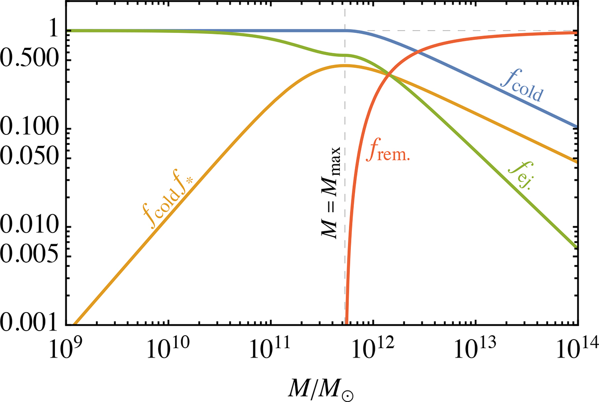
Fig. 1.

image

Download original image

Baryon fractions as functions of DM halo mass M. fej is the cold gas fraction that is ejected from the halo by SNe, fcold is the fraction of the remaining gas that is cold, frem is the fraction of gas available for accretion, and f* is the fraction of cold gas that is used for star formation.

Current usage metrics show cumulative count of Article Views (full-text article views including HTML views, PDF and ePub downloads, according to the available data) and Abstracts Views on Vision4Press platform.

Data correspond to usage on the plateform after 2015. The current usage metrics is available 48-96 hours after online publication and is updated daily on week days.

Initial download of the metrics may take a while.