Open Access

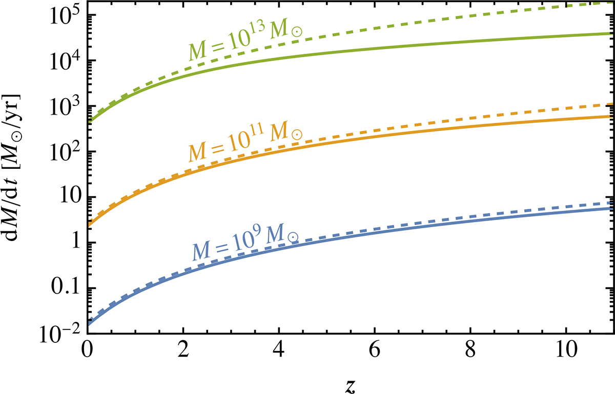
Fig. A.1.

image

Download original image

Calculations of the growth rates of DM halos. The solid curves are obtained using Eq. (A.8) and used in our analysis. The dashed curves show for comparison the estimates derived in Correa et al. (2015), which are based on finding the average mass of the main progenitor.

Current usage metrics show cumulative count of Article Views (full-text article views including HTML views, PDF and ePub downloads, according to the available data) and Abstracts Views on Vision4Press platform.

Data correspond to usage on the plateform after 2015. The current usage metrics is available 48-96 hours after online publication and is updated daily on week days.

Initial download of the metrics may take a while.