Open Access

Fig. 14

image

Download original image

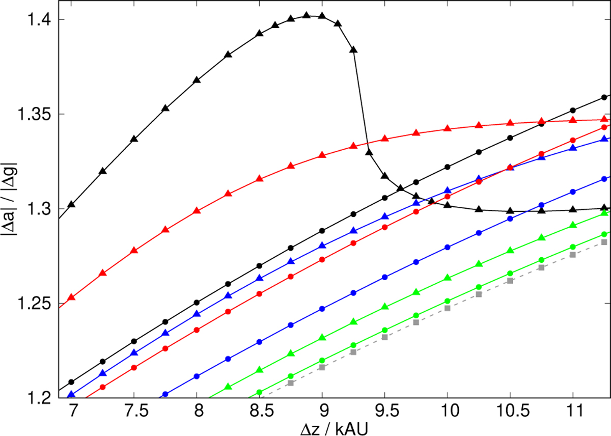
Mass dependence of the boost factor. Shown is the boost factor of the collinear configuration of a binary with a total mass of 2 M with different mass ratios as a function of the internal separation: 2.0-0.0 M (black), 1.5-0.5 M (green), 1.9-0.1 M (blue), and 1.99-0.01 M (red). The equal-mass binary is plotted with grey squares. The configurations with the less massive component between the higher-mass component and the Galactic centre particle are indicated by triangles, while those where the less-mass component is on the side of the Galactic anti-centre are indicated by circles.

Current usage metrics show cumulative count of Article Views (full-text article views including HTML views, PDF and ePub downloads, according to the available data) and Abstracts Views on Vision4Press platform.

Data correspond to usage on the plateform after 2015. The current usage metrics is available 48-96 hours after online publication and is updated daily on week days.

Initial download of the metrics may take a while.