Open Access

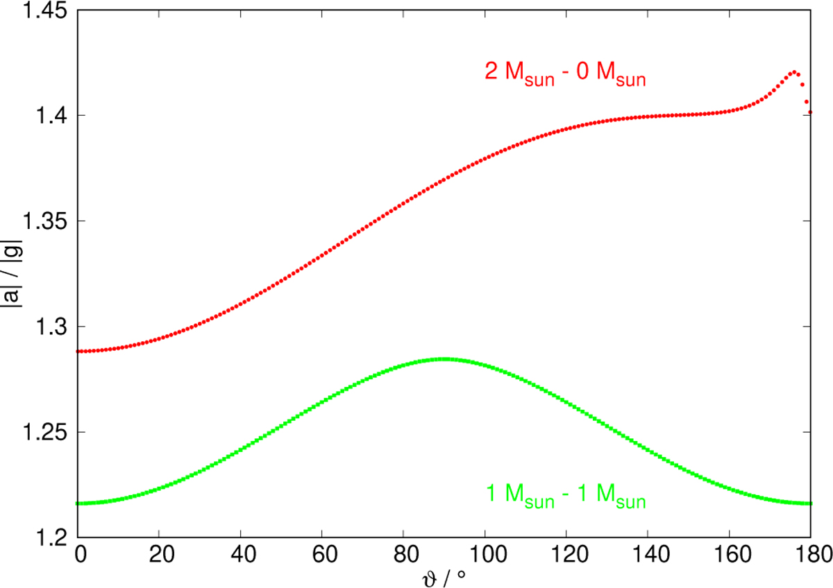
Fig. 15

image

Download original image

3D boost factor for Δz = 9000 AU. Ratios of the absolute values of the total kinematical and the Newtonian acceleration are shown as a function of the inclination angle for the equal-mass binary and the effective one-body system.

Current usage metrics show cumulative count of Article Views (full-text article views including HTML views, PDF and ePub downloads, according to the available data) and Abstracts Views on Vision4Press platform.

Data correspond to usage on the plateform after 2015. The current usage metrics is available 48-96 hours after online publication and is updated daily on week days.

Initial download of the metrics may take a while.