Open Access

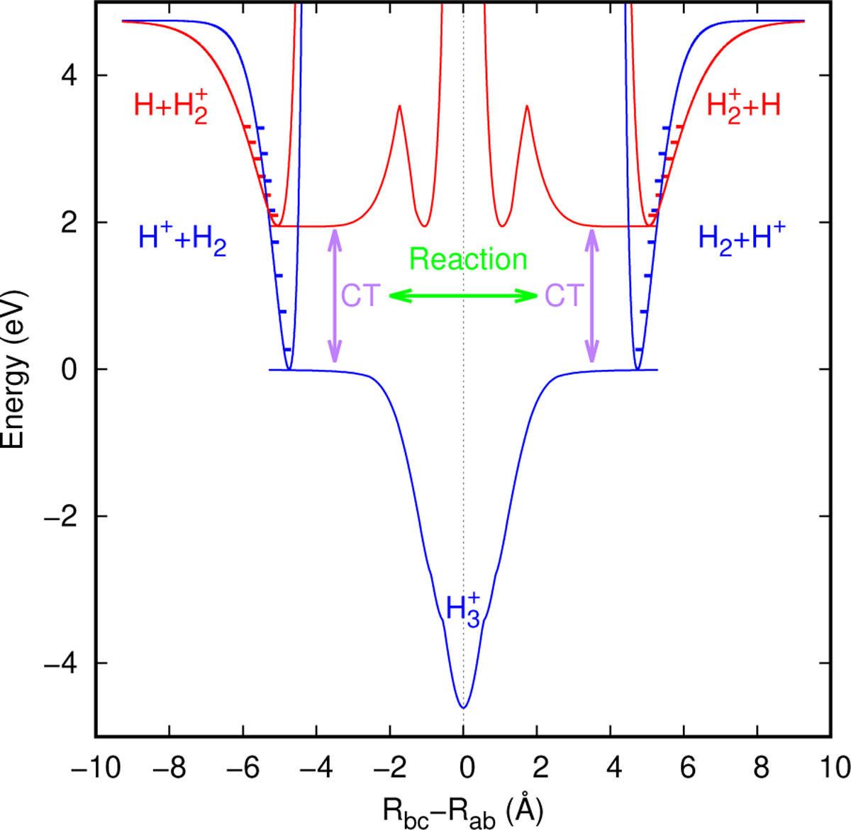
Fig. B.1

image

Download original image

Minimum energy path of the two lower adiabatic singlet electronic states of the H3+${\rm{H}}_3^ + $ system, correlating to H2 + H+ (ground) and H2++H${\rm{H}}_2^ + + {\rm{H}}$ (excited). Vibrational levels of diatomic fragments are indicated in blue (H2) and red (H2+$\left( {{\rm{H}}_2^ + } \right)$). The CT processes are described by electronic transitions between the two electronic state. Reaction only occurs in the ground electronic state.

Current usage metrics show cumulative count of Article Views (full-text article views including HTML views, PDF and ePub downloads, according to the available data) and Abstracts Views on Vision4Press platform.

Data correspond to usage on the plateform after 2015. The current usage metrics is available 48-96 hours after online publication and is updated daily on week days.

Initial download of the metrics may take a while.