Open Access

Fig. D.1.

image

Download original image

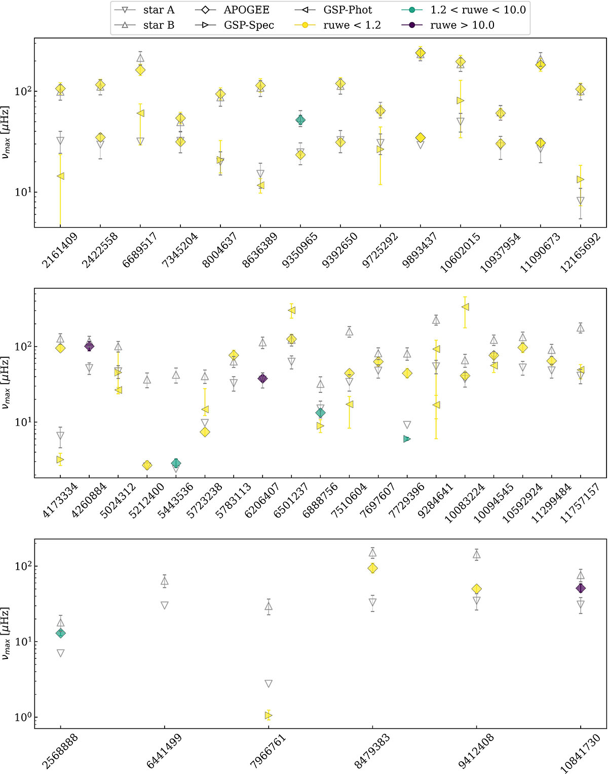
Results of matching Kepler ABs with Gaia DR3 sources. Top, centre and bottom panels show the ABs were both, only one and none of oscillators were matched Gaia source(s), respectively (see Tables D.1, D.2, and D.3). Grey up and down triangles indicate the asteroseismic νmax estimates. Diamonds, and right and left triangles represent spectroscopic νmax estimates derived from APOGEE, GSP-Spec and GSP-Phot stellar parameters, respectively. Stars with no indication of being unresolved multiple systems (RUWE < 1.2) are shown yellow, while stars with larger RUWE values are shown in green and purple. The only AB-member candidate of KIC 6441499 was excluded from the selection of red-giant stars due to the lack of Gaia photometry; therefore it is not shown in this plot (see Sect. 6.4).

Current usage metrics show cumulative count of Article Views (full-text article views including HTML views, PDF and ePub downloads, according to the available data) and Abstracts Views on Vision4Press platform.

Data correspond to usage on the plateform after 2015. The current usage metrics is available 48-96 hours after online publication and is updated daily on week days.

Initial download of the metrics may take a while.