Open Access

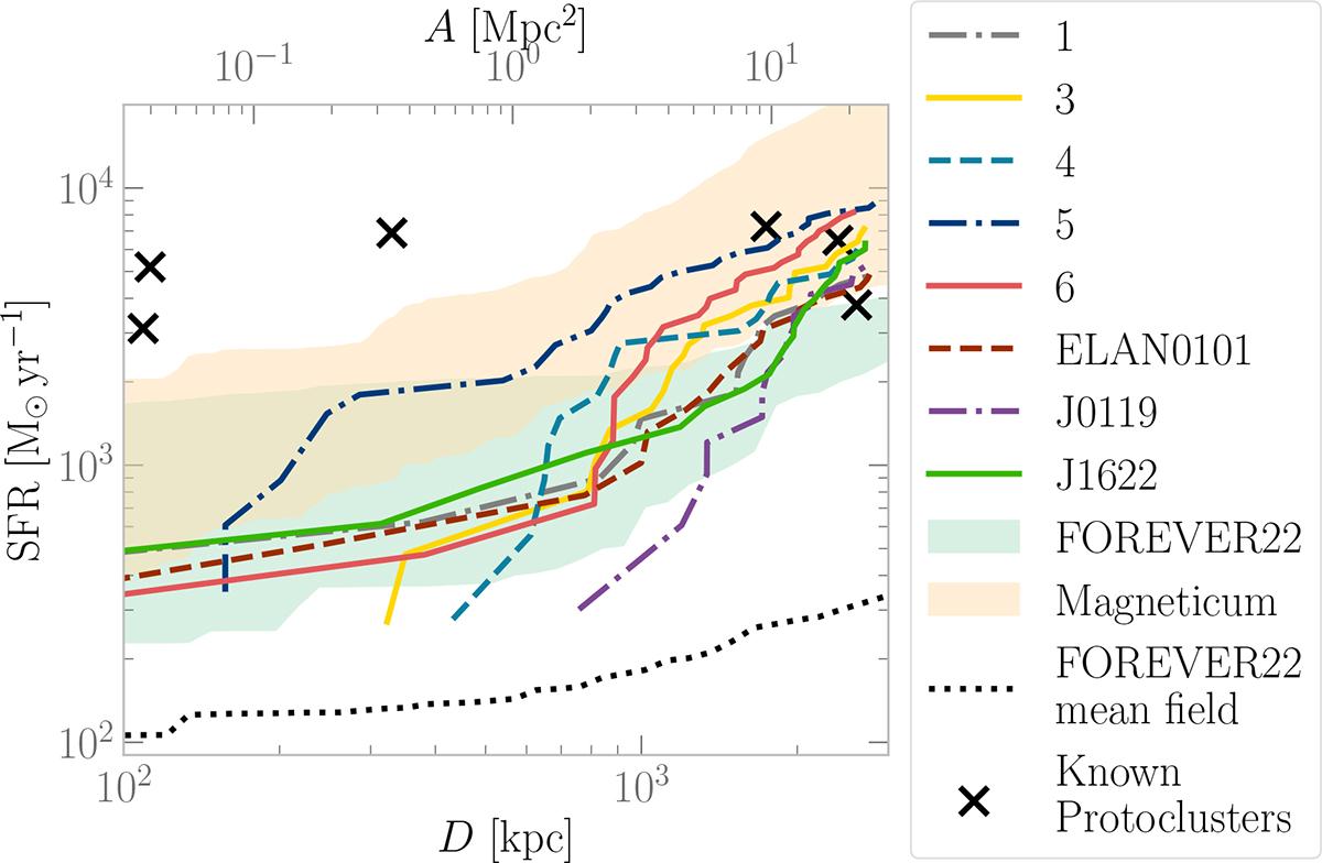
Fig. 5.

image

Download original image

Cumulative SFR of the quasar pair fields compared to the ten protocluster zoom-in simulations of FOREVER22 at z = 3 (Yajima et al. 2022), the 32 most massive halos from Magneticum at z = 2.79 (Remus et al. 2023; Dolag et al. 2025), and known protoclusters from the literature (Wang et al. 2025 and references therein). The dotted line shows the cumulative SFR of the mean blank field in FOREVER22 (Yajima et al. 2022).

Current usage metrics show cumulative count of Article Views (full-text article views including HTML views, PDF and ePub downloads, according to the available data) and Abstracts Views on Vision4Press platform.

Data correspond to usage on the plateform after 2015. The current usage metrics is available 48-96 hours after online publication and is updated daily on week days.

Initial download of the metrics may take a while.