Open Access

Fig. 4

image

Download original image

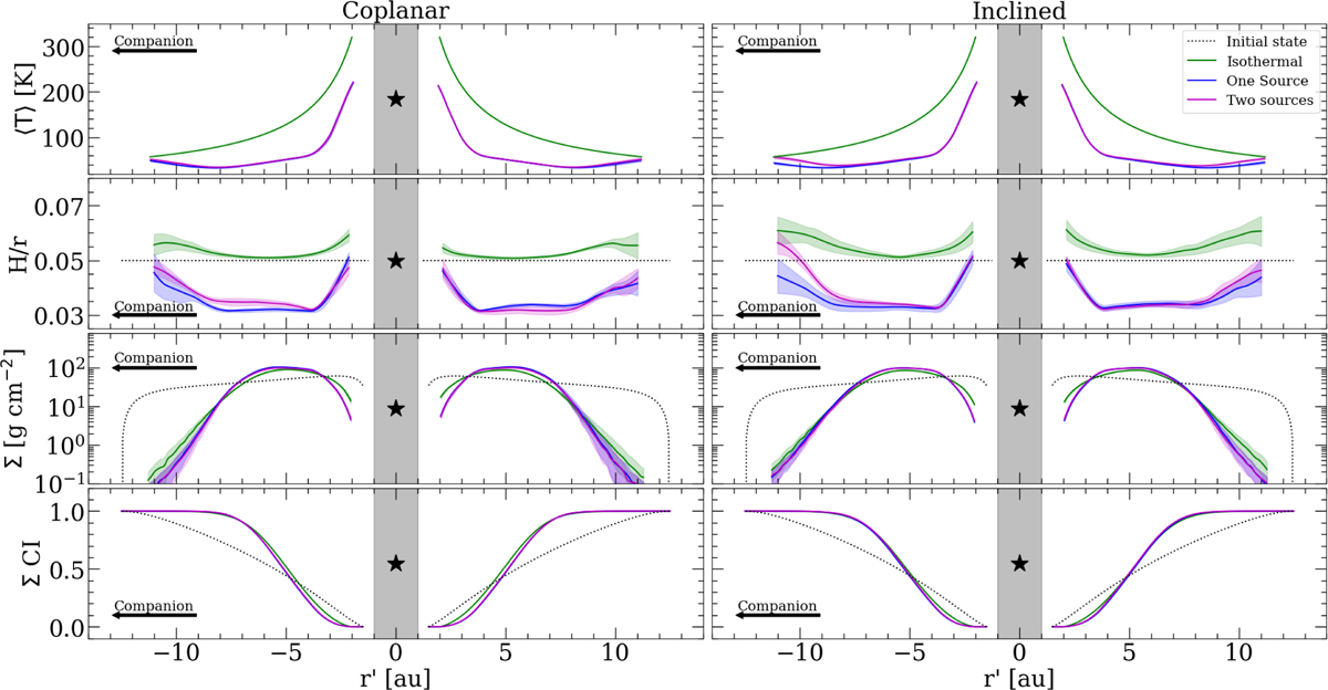
Median radial profile of disk density-weighted average temperatures (first row), aspect ratio (H/r, second row), surface density (Σ, third row), and the normalized surface density cumulative integral (Σ CI, fourth row) for a coplanar (left) and inclined by 30° (right). Each panel compares simulations with a vertically isothermal temperature profile (Iso-Bin-q1 in green), a one-star heating model (OS-Bin-q1 in blue), and a two-star heating model (Bin-q1 in magenta). Solid lines represent the median values along one binary orbit (between the ninth and tenth), while the shaded colored regions illustrate the median absolute deviation. The shaded gray areas denote the primary star’s accretion radius. The black arrow indicates the location of the companion star. The dotted line in the second, third, and fourth rows depicts the initial values for the H/r, surface density profiles, and the normalized surface density cumulative integral, respectively.

Current usage metrics show cumulative count of Article Views (full-text article views including HTML views, PDF and ePub downloads, according to the available data) and Abstracts Views on Vision4Press platform.

Data correspond to usage on the plateform after 2015. The current usage metrics is available 48-96 hours after online publication and is updated daily on week days.

Initial download of the metrics may take a while.