Open Access

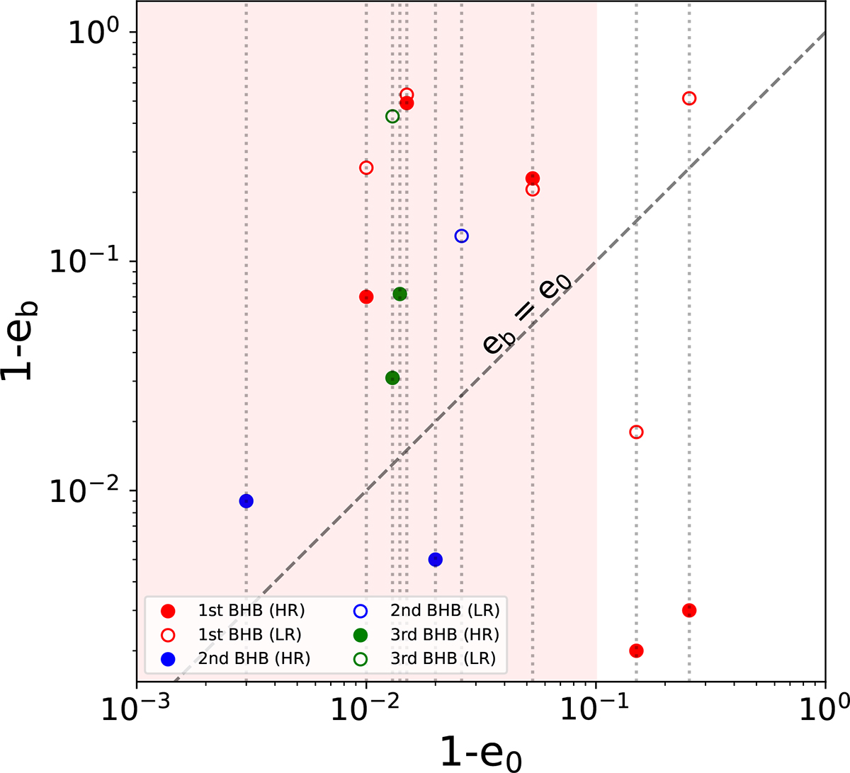
Fig. 8.

image

Download original image

Eccentricity at binary formation (eb) as a function of the initial galactic merger orbital eccentricity (e0). We use different colours to distinguish between data relative to the first (red), second (blue), or third (green) BHB of a tree. Empty and filled dots represent data from the LR and HR runs, respectively. The shaded red area highlights the region where e0 > 0.9.

Current usage metrics show cumulative count of Article Views (full-text article views including HTML views, PDF and ePub downloads, according to the available data) and Abstracts Views on Vision4Press platform.

Data correspond to usage on the plateform after 2015. The current usage metrics is available 48-96 hours after online publication and is updated daily on week days.

Initial download of the metrics may take a while.