Open Access

Fig. D.3.

image

Download original image

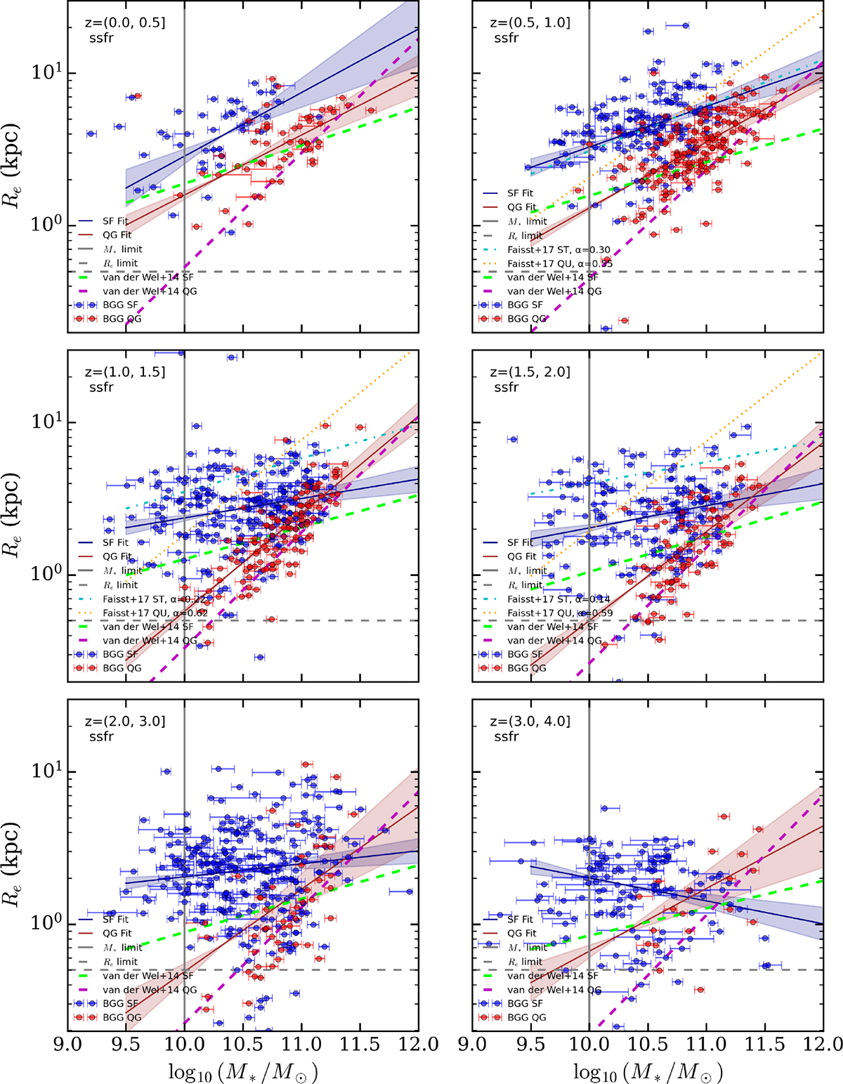
Size–mass relation of BGGs using sSFR-only classification. Each panel shows results for a redshift bin of width Δz = 0.5 spanning z = 0 to z = 3.7. Star-forming and quiescent BGGs are identified based on whether their log10(sSFR) falls above or below the redshift-dependent threshold log10(0.2/tobs), where tobs is the age of the universe in Gyr. As in previous figures, dashed (SFGs) and solid (QGs) lines show best-fit power-law relations, and shaded regions represent 1σ confidence intervals. The sSFR-based method yields similar trends but may misclassify dusty SFGs at intermediate redshift. Results from Faisst et al. 2017 are shown as cyan dashed-dotted (SFGs) and orange dotted (QGs) lines in matching redshift bins for comparison. While dashed lime and dashed magenta lines show van der Wel et al. 2014 results.

Current usage metrics show cumulative count of Article Views (full-text article views including HTML views, PDF and ePub downloads, according to the available data) and Abstracts Views on Vision4Press platform.

Data correspond to usage on the plateform after 2015. The current usage metrics is available 48-96 hours after online publication and is updated daily on week days.

Initial download of the metrics may take a while.