Open Access

Fig. 7.

image

Download original image

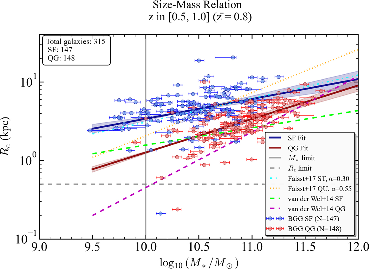
Size–mass relation of BGGs classified using the consensus (color+sSFR) method, shown here for the redshift bin z = 0.5−1.0. Blue circles represent star-forming BGGs, and red hexagons show quiescent BGGs. Solid and dashed lines indicate best-fit power-law relations for QGs and SFGs, respectively, with shaded bands showing the 1σ uncertainties. Dash-dotted cyan and dotted orange lines show comparison relations from Faisst et al. 2017, while dashed lime and magenta lines show results from van der Wel et al. 2014. Vertical and horizontal gray lines mark the stellar mass limit of log10 (M/M) > 10 and size cut of Re > 0.5 kpc, which are applied when fitting the relations. While BGGs follow similar evolutionary trends, they tend to be slightly smaller at fixed mass-particularly among quiescent centrals-highlighting the influence of group environments on galaxy structure. The size–mass relations for all other redshift bins are available in Section 6.

Current usage metrics show cumulative count of Article Views (full-text article views including HTML views, PDF and ePub downloads, according to the available data) and Abstracts Views on Vision4Press platform.

Data correspond to usage on the plateform after 2015. The current usage metrics is available 48-96 hours after online publication and is updated daily on week days.

Initial download of the metrics may take a while.