Open Access

Fig. 10

image

Download original image

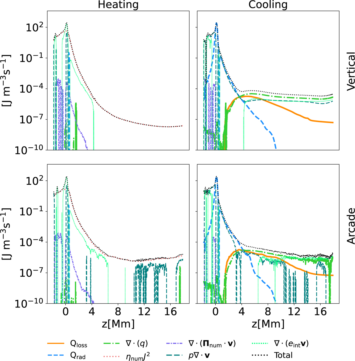
Horizontally and temporally averaged heating and cooling contributions to the internal energy equation as a function of height. The plotted terms are the radiative terms Qloss(orange), Qrad(blue), divergence of heat flux (∇ ∙ q) (green), joule heating from numerical resistivity num J2, (red)), dissipation from numerical viscosity (∇ ∙ (Πnumv)), (violet), adiabatic heating (p∇ ∙ v), (navy blue), and flux of internal energy (∇ ∙ (eintv)), (light green). Left panels show heating terms, and right panels show cooling terms. The top row corresponds to the simulation with a vertical magnetic field (Simulation 2), while the bottom row corresponds to the simulation with an arcade-like magnetic field (Simulation 3). The black dotted line in each panel represents the total contribution (sum of all terms). For clarity, values smaller than 1 × 10−10 are omitted from the plots.

Current usage metrics show cumulative count of Article Views (full-text article views including HTML views, PDF and ePub downloads, according to the available data) and Abstracts Views on Vision4Press platform.

Data correspond to usage on the plateform after 2015. The current usage metrics is available 48-96 hours after online publication and is updated daily on week days.

Initial download of the metrics may take a while.