Open Access

Fig. 9

image

Download original image

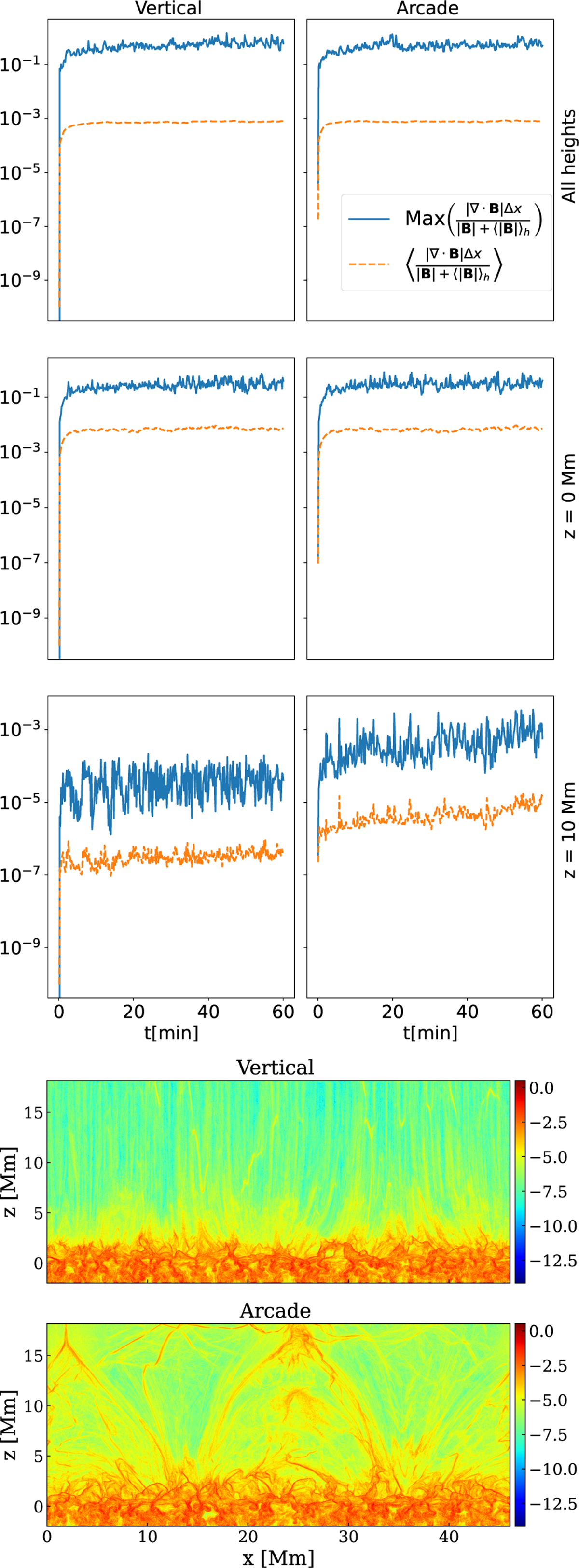
Dimensionless error associated with the divergence of the magnetic field, defined as |∇ ∙ B|∆x/(|B| + 〈|B|〉h). The top three panels show the maximum and average values of this error as functions of time. The left panels correspond to the simulation with an initially vertical magnetic field, while the right panels show the results for the arcade magnetic field configuration. The first row presents values computed over the entire domain, while the second and third rows show values at heights of z=0 Mm and z =10 Mm, respectively. The bottom color maps display the error in logarithmic scale for both simulations for t=2800 s.

Current usage metrics show cumulative count of Article Views (full-text article views including HTML views, PDF and ePub downloads, according to the available data) and Abstracts Views on Vision4Press platform.

Data correspond to usage on the plateform after 2015. The current usage metrics is available 48-96 hours after online publication and is updated daily on week days.

Initial download of the metrics may take a while.