Open Access

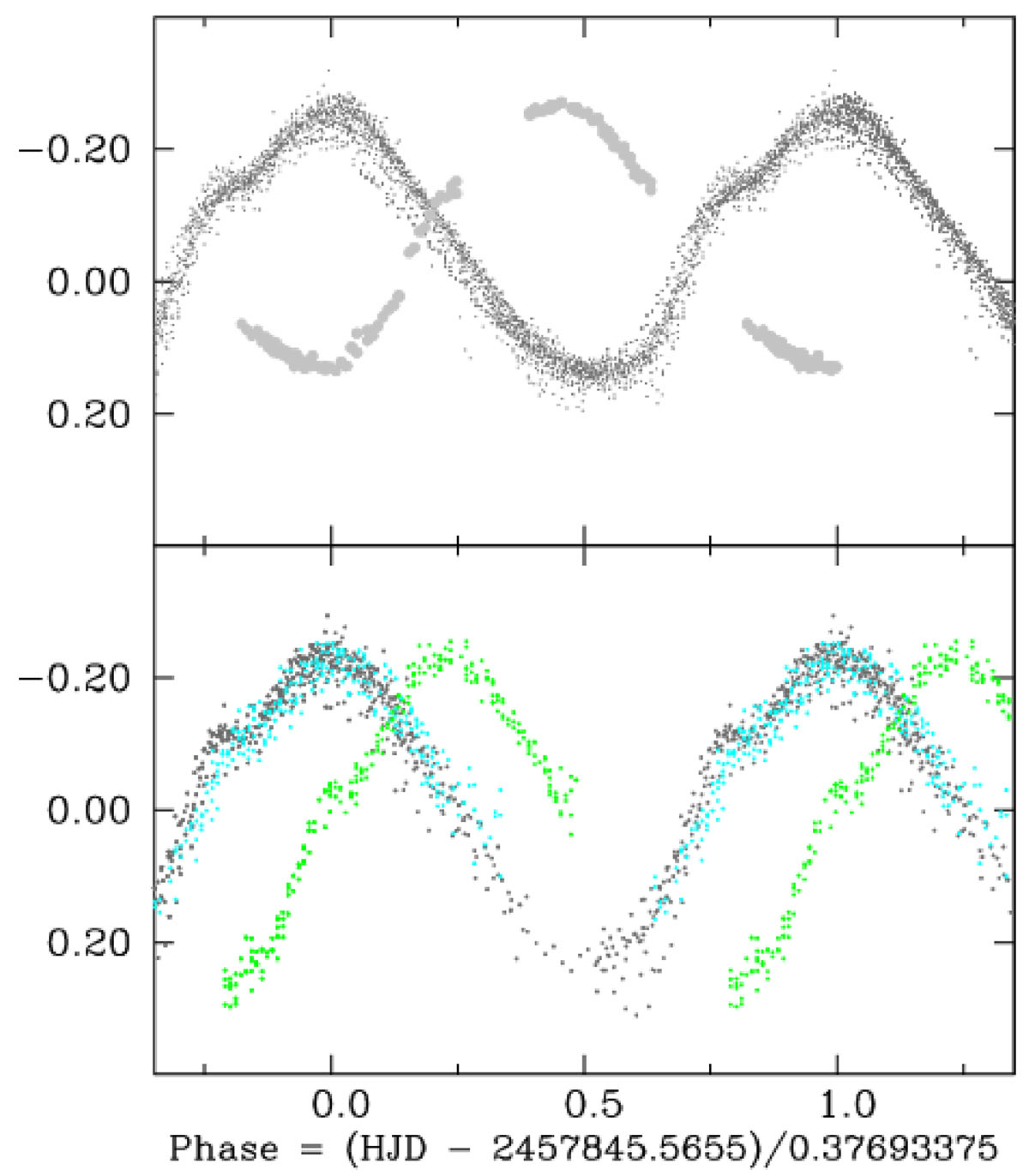
Fig. 4.

image

Download original image

Large shifts of the light curve of KIC 2831097 observed before and after the 2017-18 campaign. Upper panel: no-filter data obtained in 2016 (light grey) and in 2017-18 (dark grey) at the Konkoly Observatory. Lower panel:V light data obtained in 2017-18 (grey points), in 2020 (cyan points), and in 2022 (green points) at the Freixinet observatory.

Current usage metrics show cumulative count of Article Views (full-text article views including HTML views, PDF and ePub downloads, according to the available data) and Abstracts Views on Vision4Press platform.

Data correspond to usage on the plateform after 2015. The current usage metrics is available 48-96 hours after online publication and is updated daily on week days.

Initial download of the metrics may take a while.