Open Access

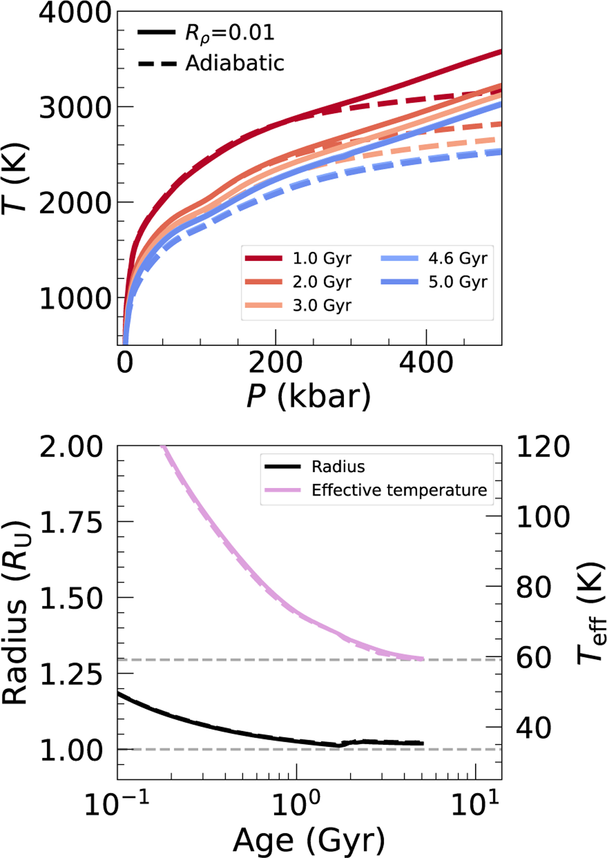
Fig. F.1

image

Download original image

Evolution of Uranus comparing adiabatic and super-adiabatic interiors. Top panel. temperature-pressure profiles. Bottom panel. radius and effective temperature as a function of age. The horizontal dashed lines show the measured values.

Current usage metrics show cumulative count of Article Views (full-text article views including HTML views, PDF and ePub downloads, according to the available data) and Abstracts Views on Vision4Press platform.

Data correspond to usage on the plateform after 2015. The current usage metrics is available 48-96 hours after online publication and is updated daily on week days.

Initial download of the metrics may take a while.