Open Access

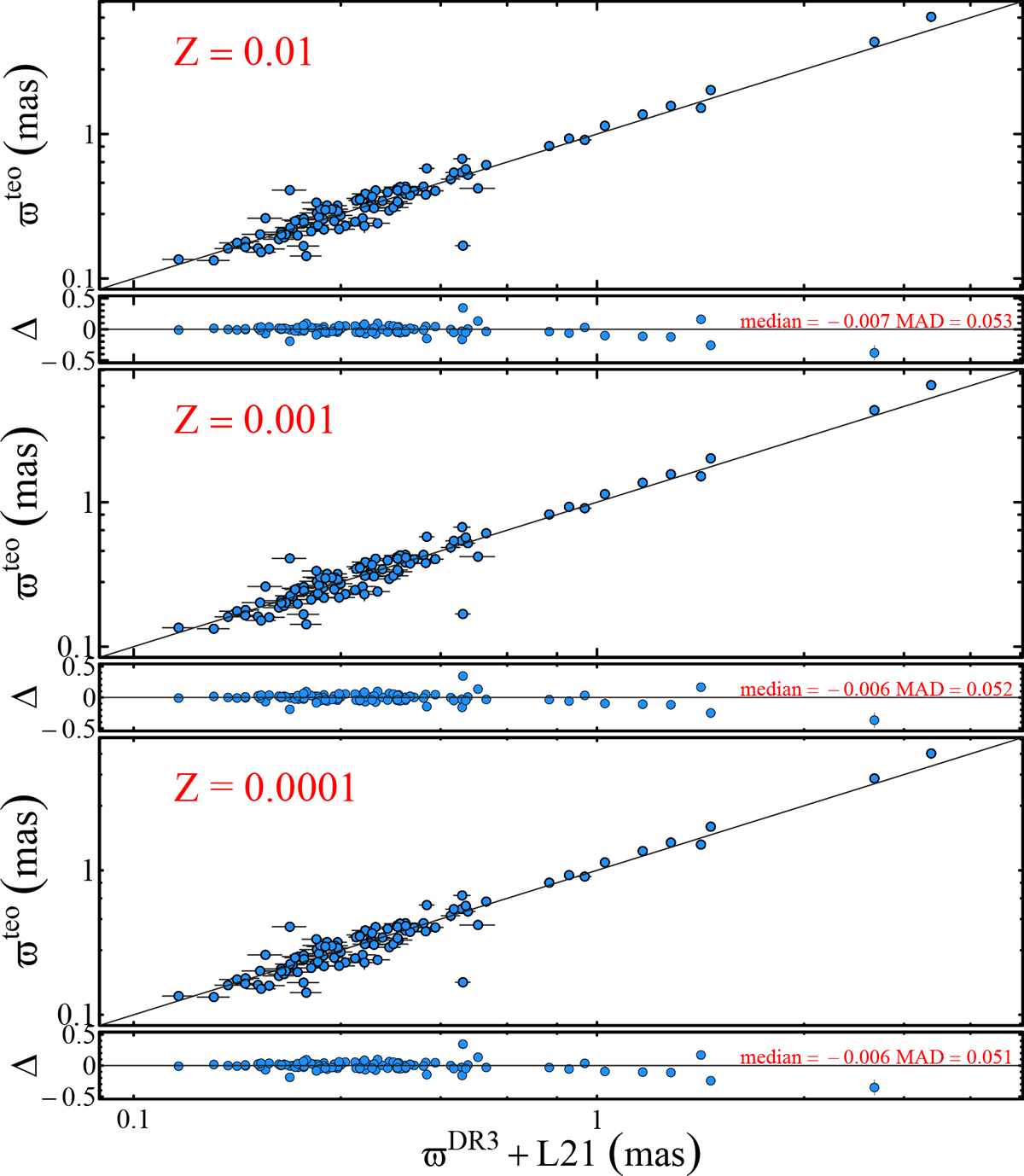
Fig. 4.

image

Download original image

Theoretical parallaxes of Galactic Type II Cepheids in the Gaia database, as obtained from inversion of the theoretical PWZ relation in the Gaia bands, versus Gaia astrometric values, as corrected for the Lindegren et al. (2021) offset. In each panel, we show the results obtained assuming the labelled metal abundance in the PWZ relation. The bottom plot of each panel shows the corresponding residuals computed as ϖDR3 + L21 − ϖteo.

Current usage metrics show cumulative count of Article Views (full-text article views including HTML views, PDF and ePub downloads, according to the available data) and Abstracts Views on Vision4Press platform.

Data correspond to usage on the plateform after 2015. The current usage metrics is available 48-96 hours after online publication and is updated daily on week days.

Initial download of the metrics may take a while.