Open Access

Fig. A.4.

image

Download original image

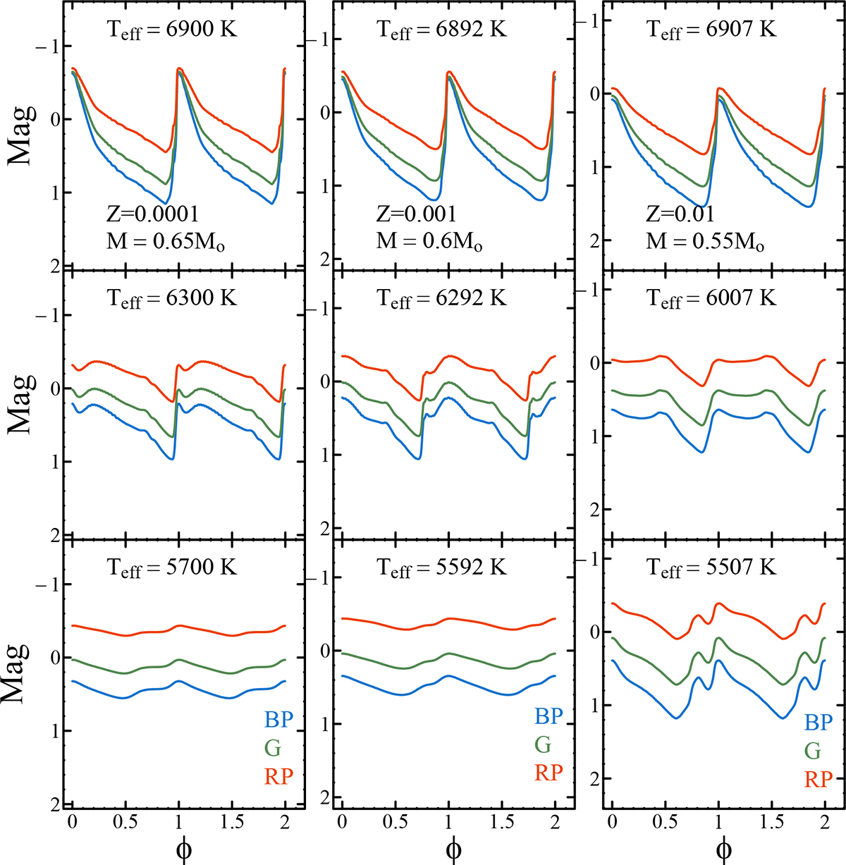
An example of predicted GBP (red), G (green) and GRP (blue) light curves for Z = 0.0001 (left panel), Z = 0.001 (middle panel) and Z = 0.01 (right panel). The three vertical panels correspond to different values of the model stellar mass and metallicity (see labels). Three values of the effective temperature are considered and labelled in each panel.

Current usage metrics show cumulative count of Article Views (full-text article views including HTML views, PDF and ePub downloads, according to the available data) and Abstracts Views on Vision4Press platform.

Data correspond to usage on the plateform after 2015. The current usage metrics is available 48-96 hours after online publication and is updated daily on week days.

Initial download of the metrics may take a while.