Open Access

Fig. 6

image

Download original image

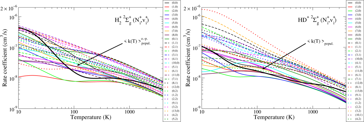
Left panel: thermal rate coefficient for the DR of H2+$\mathrm{H}_{2}^{+}$summed over all five relevant molecular symmetries of the neutral up to an electron temperature of T=4000 K. The colored thin lines show the rate coefficient for the first 30 ro-vibrational levels (Ni+,vi+$N_{i}^{+}, v_{i}^{+}$) listed in the legend, while the thick black line shows the thermally averaged rate coefficient by considering the temperature-dependent level population distributions and the ortho-para statistical weights. Right panel: same for HD+without ortho-para weights.

Current usage metrics show cumulative count of Article Views (full-text article views including HTML views, PDF and ePub downloads, according to the available data) and Abstracts Views on Vision4Press platform.

Data correspond to usage on the plateform after 2015. The current usage metrics is available 48-96 hours after online publication and is updated daily on week days.

Initial download of the metrics may take a while.