Open Access

Fig. 9

image

Download original image

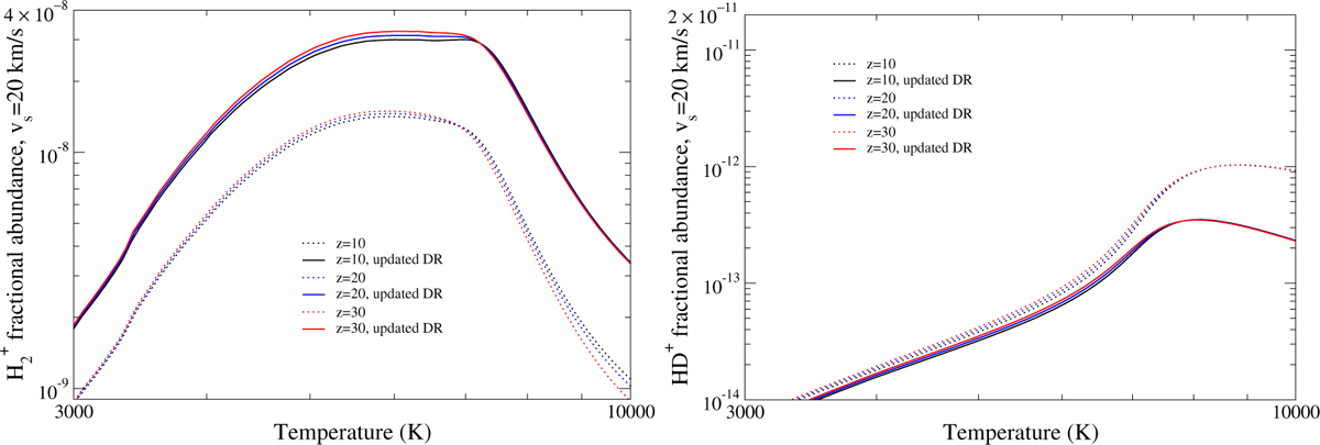
Fractional abundances of H2+$\mathrm{H}_{2}^{+}$(left panel) and HD+(right panel) for a shock wave propagating through a gas of primordial composition at redshift z=10, 20, and 30 and at a speed vs=20 km s−1. The dotted curves show the fractional abundances obtained adopting the DR reaction rates of Coppola et al. (2011) and Galli & Palla (1998), respectively.

Current usage metrics show cumulative count of Article Views (full-text article views including HTML views, PDF and ePub downloads, according to the available data) and Abstracts Views on Vision4Press platform.

Data correspond to usage on the plateform after 2015. The current usage metrics is available 48-96 hours after online publication and is updated daily on week days.

Initial download of the metrics may take a while.