Open Access

Fig. 2.

image

Download original image

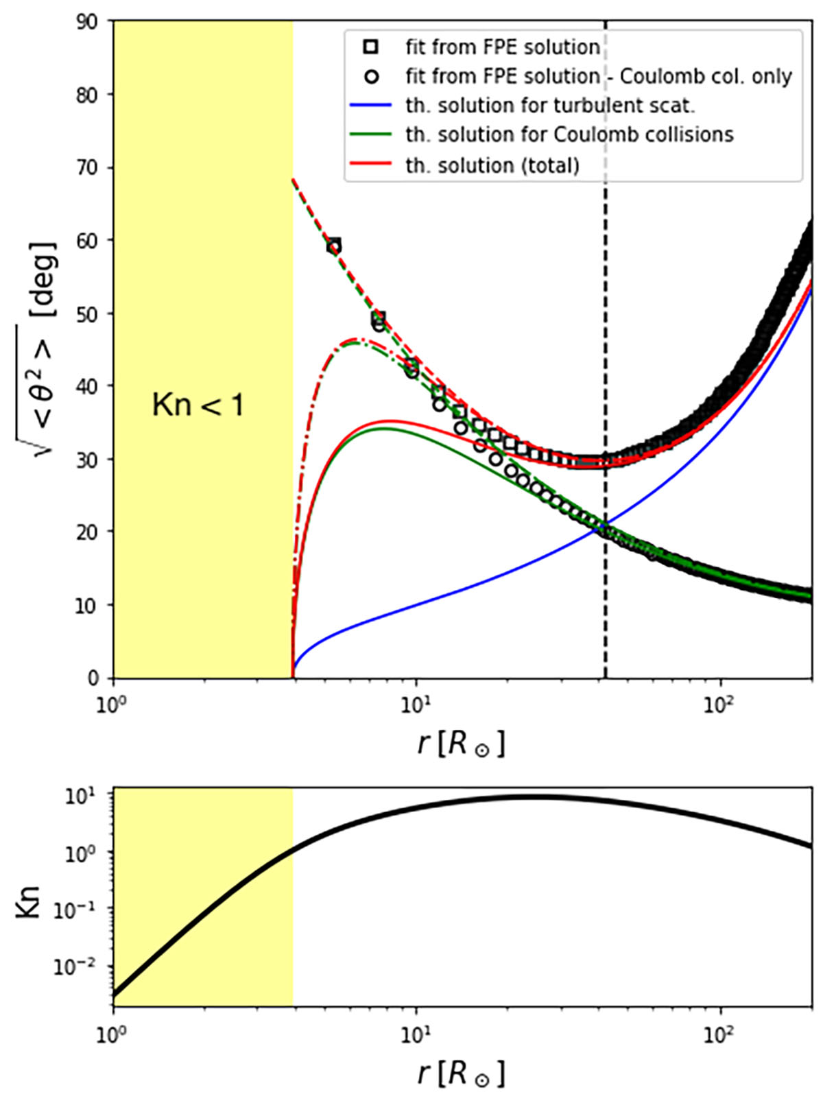
Top panel: Same as Fig.1 except that the density profile is given by the Leblanc-Dulk-Bougeret coronal density model (Leblanc et al. 1998). The dotted-dahsed curves are the analytical expressions obtained from the expansion of θ 2 $ {\langle \tilde\theta^2 \rangle} $ for each term of the polynomial density model. The solid curves present the results assuming a r−2 density profile. Bottom panel: Knudsen number Kn = λtot/LB, with λ tot 1 = λ c 1 + λ turb 1 $ \lambda_{\mathrm{tot}}^{-1} = \lambda_{c}^{-1} + \lambda_{\mathrm{turb}}^{-1} $.

Current usage metrics show cumulative count of Article Views (full-text article views including HTML views, PDF and ePub downloads, according to the available data) and Abstracts Views on Vision4Press platform.

Data correspond to usage on the plateform after 2015. The current usage metrics is available 48-96 hours after online publication and is updated daily on week days.

Initial download of the metrics may take a while.