Open Access

Fig. 3

image

Download original image

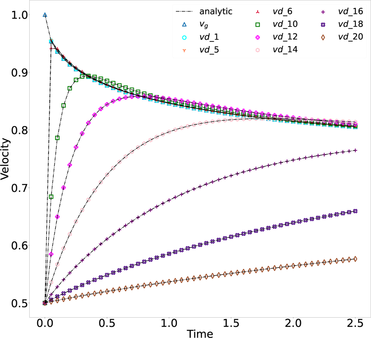
Evolution of the gas and dust velocities for a Collisions test with 20 dust fluids obtained with the EXP solver and compared to the analytical solution given by Eq. (27) (dashed black lines). For the first five dust species, their stopping time is short, such that they are strongly coupled to the gas. We therefore chose to plot the first and the fifth species. In addition to the 6th dust species, we chose to skip every second fluid from the 10th to the 20th dust species.

Current usage metrics show cumulative count of Article Views (full-text article views including HTML views, PDF and ePub downloads, according to the available data) and Abstracts Views on Vision4Press platform.

Data correspond to usage on the plateform after 2015. The current usage metrics is available 48-96 hours after online publication and is updated daily on week days.

Initial download of the metrics may take a while.