Open Access

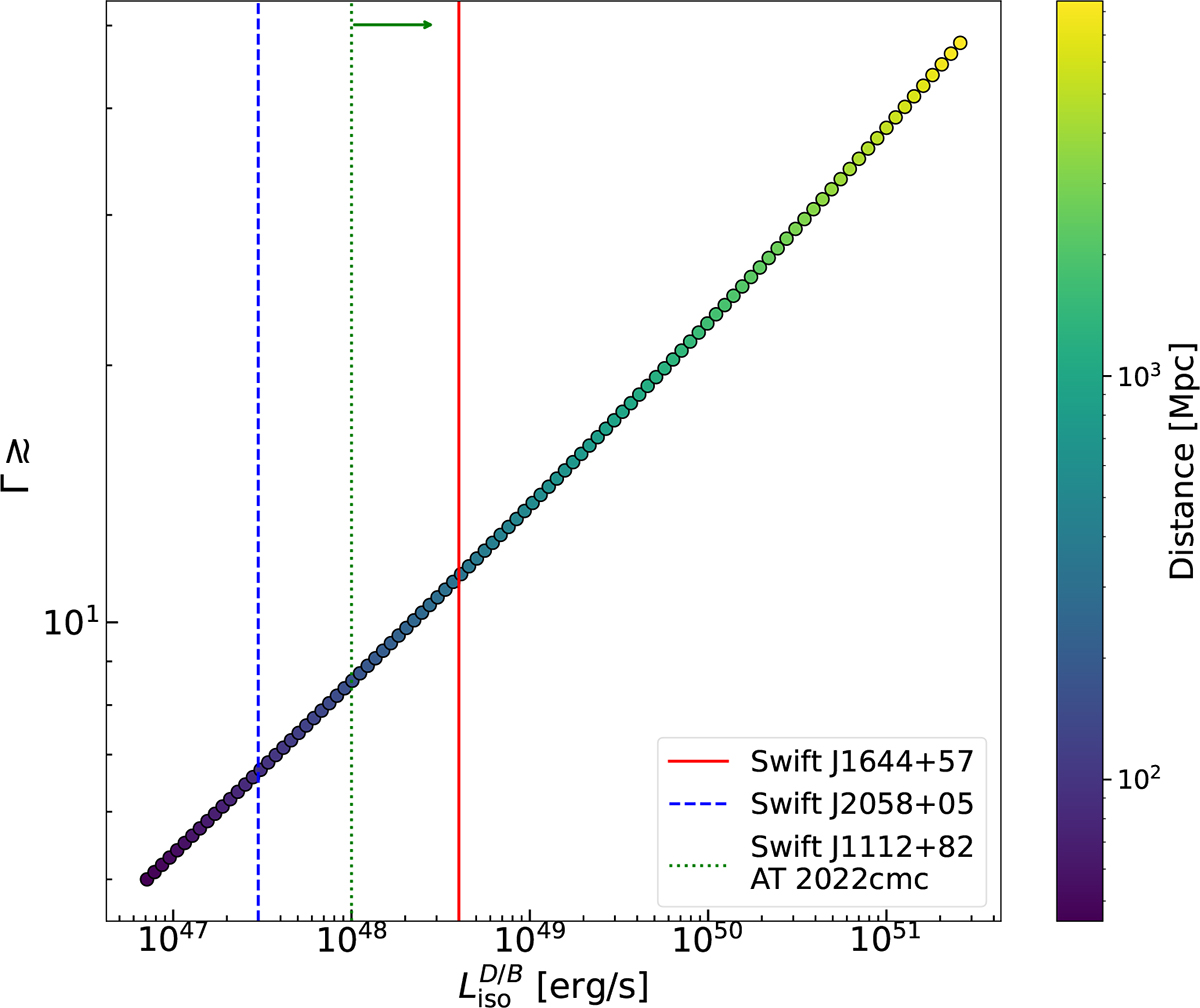
Fig. 3.

image

Download original image

Lower limit on the bulk Lorentz factor of the jet as a function of the isotropic-equivalent luminosity of the D and B emission episodes. The color bar indicates the corresponding luminosity distance to DBE. For comparison, we show the luminosity (brightest hard X-ray outbursts) measured for Swift J2058+05 (Cenko et al. 2012; Pasham et al. 2015), Swift J1112+82 (Brown et al. 2015), AT 2022cmc (Andreoni et al. 2022; Pasham et al. 2023), and Swift J1644+57 (Burrows et al. 2011) as dashed blue, dotted green, and solid red vertical lines.

Current usage metrics show cumulative count of Article Views (full-text article views including HTML views, PDF and ePub downloads, according to the available data) and Abstracts Views on Vision4Press platform.

Data correspond to usage on the plateform after 2015. The current usage metrics is available 48-96 hours after online publication and is updated daily on week days.

Initial download of the metrics may take a while.