Open Access

Fig. B.1

image

Download original image

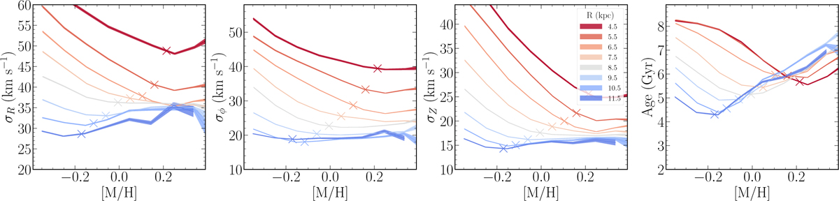
Similar to Fig. 5 except that now the position of the stars within an annulus is determined by their actual R position, instead of Rg. When plotting as a function of R, stars are preferentially seen at their apocentre and, therefore, on cooler orbits.

Current usage metrics show cumulative count of Article Views (full-text article views including HTML views, PDF and ePub downloads, according to the available data) and Abstracts Views on Vision4Press platform.

Data correspond to usage on the plateform after 2015. The current usage metrics is available 48-96 hours after online publication and is updated daily on week days.

Initial download of the metrics may take a while.