Open Access

Fig. 5

image

Download original image

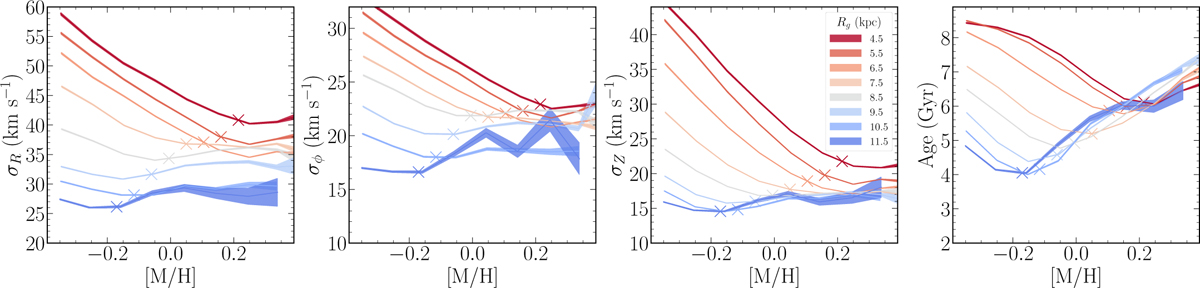
Velocity dispersions (radial, azimuthal, and vertical in the first, second, and third panels) and average age (fourth panel) as a function of metallicity for different galactocentric guiding radii, Rg, as annotated by the legend. The ‘X’ symbols are located at the ISM’s metallicity at the considered position, assuming the metallicity gradient derived from classical Cepheids and open clusters from da Silva et al. (2023). The thickness of the line corresponds to the uncertainty on the measurement. The step in metallicity used to compute the trends is 0.1 dex.

Current usage metrics show cumulative count of Article Views (full-text article views including HTML views, PDF and ePub downloads, according to the available data) and Abstracts Views on Vision4Press platform.

Data correspond to usage on the plateform after 2015. The current usage metrics is available 48-96 hours after online publication and is updated daily on week days.

Initial download of the metrics may take a while.