Open Access

Fig. 5.

image

Download original image

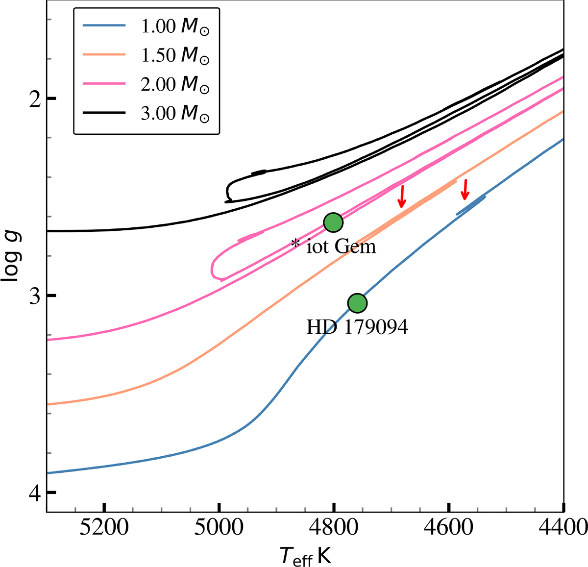
Log g versus Teff diagram. Locations of *iot Gem (1.37 M) and HD 179094 (1.03 M) below the RGB luminosity bump are denoted by red arrows, on the PARSEC evolutionary tracks for solar metallicity from Bressan et al. (2012).

Current usage metrics show cumulative count of Article Views (full-text article views including HTML views, PDF and ePub downloads, according to the available data) and Abstracts Views on Vision4Press platform.

Data correspond to usage on the plateform after 2015. The current usage metrics is available 48-96 hours after online publication and is updated daily on week days.

Initial download of the metrics may take a while.