Open Access

Fig. 2.

image

Download original image

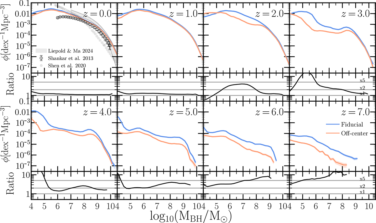
Upper panels: Black hole mass function (BHMF) at z  =  0, 1, 2, 3, 4, 5, 6, and 7. The results correspond to the L-GalaxiesBH SAM run on the Millennium merger trees after applying the grafting methodology presented in Section 2.2. The z  =  0 observations correspond to Shankar et al. (2013), Shen et al. (2020), and Liepold & Ma (2024). Blue and orange lines represent the Fiducial and Off-center model predictions, respectively. Shaded areas show the Poisson error. Lower panels: Ratio between the predictions of the Off-center and Fiducial models. The horizontal grey lines are placed at 1, 2, and 5.

Current usage metrics show cumulative count of Article Views (full-text article views including HTML views, PDF and ePub downloads, according to the available data) and Abstracts Views on Vision4Press platform.

Data correspond to usage on the plateform after 2015. The current usage metrics is available 48-96 hours after online publication and is updated daily on week days.

Initial download of the metrics may take a while.