Open Access

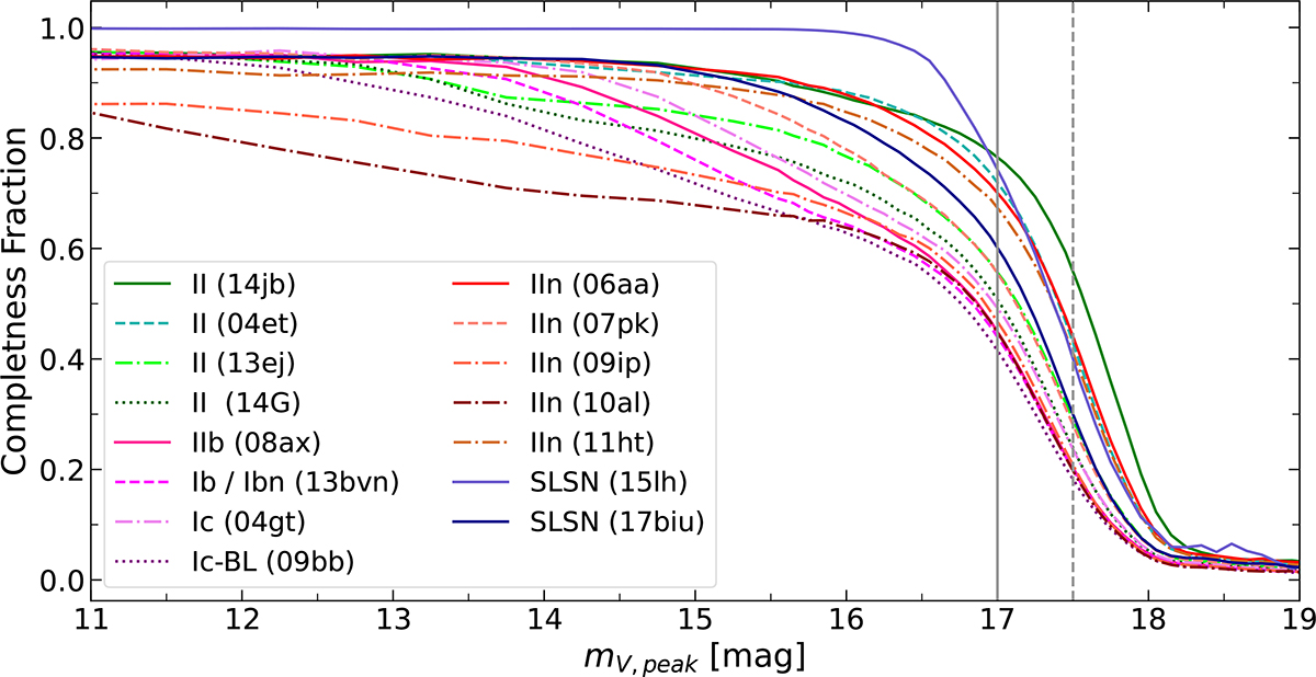
Fig. 4.

image

Download original image

Completeness fractions for different ccSN templates as a function of peak apparent magnitude (mV, peak). The vertical solid line shows the limiting magnitude of the analysis at mV = 17.0 mag, while the vertical dashed line shows the limit used for light curves with long-duration plateaus at mV = 17.5 mag.

Current usage metrics show cumulative count of Article Views (full-text article views including HTML views, PDF and ePub downloads, according to the available data) and Abstracts Views on Vision4Press platform.

Data correspond to usage on the plateform after 2015. The current usage metrics is available 48-96 hours after online publication and is updated daily on week days.

Initial download of the metrics may take a while.