Open Access

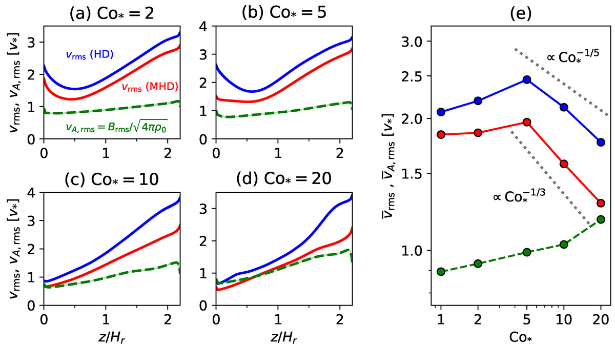
Fig. 10.

image

Download original image

Profiles of the rms convective velocity, vrms, and the Alfvén velocity of the rms magnetic field, v A , rms = B rms / 4 π ρ 0 $ v_{\mathrm{A, rms}}=B_{\mathrm{rms}}/\sqrt{4\pi\rho_{0}} $. (a–d) Vertical profiles of vrms for different Co*, where blue and red represent the results from HD and MHD cases. The dashed green curves show the profiles of vA, rms from MHD cases. (e) The values of volume-averaged rms velocity and magnetic field, v ¯ rms $ \overline{v}_{\mathrm{rms}} $ and v ¯ A , rms $ \overline{v}_{\mathrm{A, rms}} $, as functions of Co*. The dotted gray lines show Co 1 / 5 $ \propto\,\mathrm{Co}_{*}^{-1/5} $ and Co 1 / 3 $ \propto\,\mathrm{Co}_{*}^{-1/3} $ dependences theoretically expected from the CIA and MAC balances.

Current usage metrics show cumulative count of Article Views (full-text article views including HTML views, PDF and ePub downloads, according to the available data) and Abstracts Views on Vision4Press platform.

Data correspond to usage on the plateform after 2015. The current usage metrics is available 48-96 hours after online publication and is updated daily on week days.

Initial download of the metrics may take a while.