Open Access

Fig. 3

image

Download original image

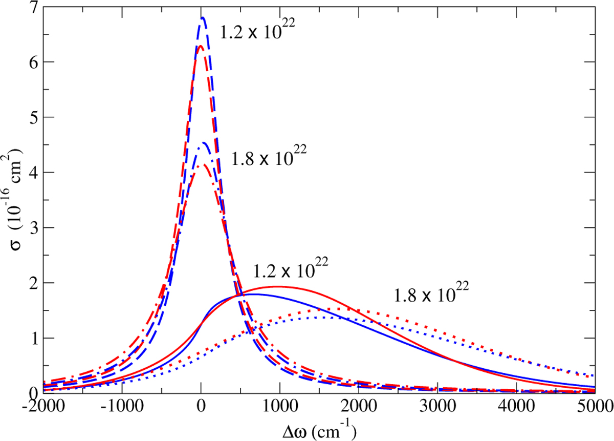
Absorption cross section, σ, of the D2 component of the resonance lines of Na (blue curves ) and K (red curves) perturbed by H2 collisions at T = 1000 K for nH2=1.2×1022${n_{{{\rm{H}}_2}}} = 1.2 \times {10^{22}}$ (full lines) and 1.8 × 1022 cm−3 (dotted lines). The Lorentzian approximation is overplotted for comparison (dashed curves), ∆ω is relative to the unperturbed atomic line in cm−1, and comparable to the energy difference ΔV of Fig. 2 in the same units.

Current usage metrics show cumulative count of Article Views (full-text article views including HTML views, PDF and ePub downloads, according to the available data) and Abstracts Views on Vision4Press platform.

Data correspond to usage on the plateform after 2015. The current usage metrics is available 48-96 hours after online publication and is updated daily on week days.

Initial download of the metrics may take a while.