Open Access

Fig. 2

image

Download original image

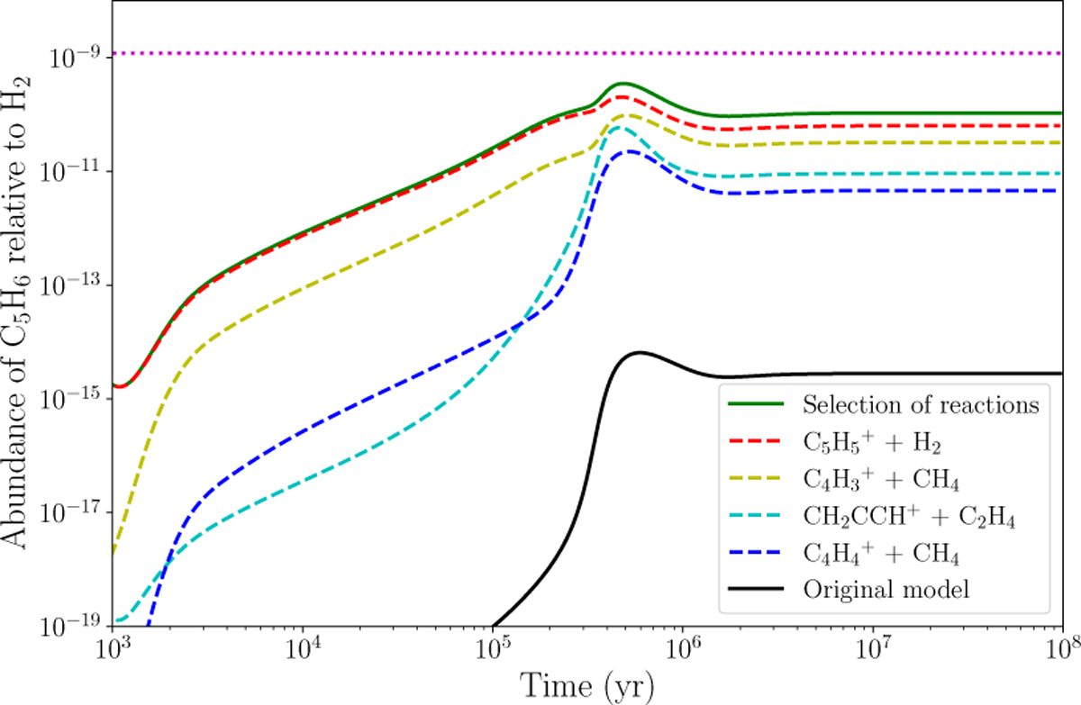
Prediction of the relative abundance of cyclopentadiene (c-C5H6) as a function of time in the chemical model of TMC-1. The solid black line is the abundance predicted by the model without ion-molecule reactions, dashed lines represent how it is modified by including each of the reactions separately, and the solid green line is the total abundance when all the reactions from the dashed lines are included. The horizontal dotted line represents the observed abundance of cyclopentadiene in TMC-1, calculated from its column density (Cernicharo et al. 2021a).

Current usage metrics show cumulative count of Article Views (full-text article views including HTML views, PDF and ePub downloads, according to the available data) and Abstracts Views on Vision4Press platform.

Data correspond to usage on the plateform after 2015. The current usage metrics is available 48-96 hours after online publication and is updated daily on week days.

Initial download of the metrics may take a while.