Open Access

Fig. 3.

image

Download original image

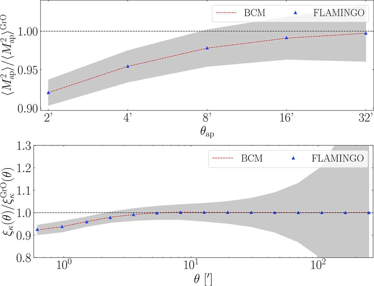
Baryonic effects on ⟨ℳap2⟩ (upper panel) and on ξκ (lower panel), illustrated by ratios of measurements with baryonic physics to GrO measurements. We show with blue triangles the fiducial FLAMINGO measurements, and the grey shaded area represents the Euclid DR1 uncertainty. We overplot with a red dashed line the best-fitting BCM to the flamingofied data vector, found by employing our emulators with fixed cosmological parameters.

Current usage metrics show cumulative count of Article Views (full-text article views including HTML views, PDF and ePub downloads, according to the available data) and Abstracts Views on Vision4Press platform.

Data correspond to usage on the plateform after 2015. The current usage metrics is available 48-96 hours after online publication and is updated daily on week days.

Initial download of the metrics may take a while.