Open Access

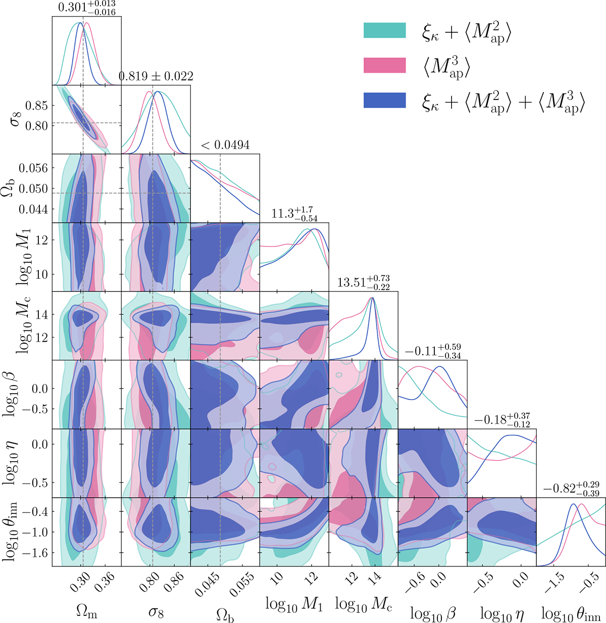
Fig. 6.

image

Download original image

Euclid DR1 forecast, where we used a flamingofied reference data vector (see Sect. 5.5) estimated from the fiducial baryon description of the FLAMINGO simulations with eight light cones of the 2.8 Gpc box. The stated constraints correspond to the joint analysis of second- and third-order statistics. The grey dashed line indicates the underlying D3A cosmology.

Current usage metrics show cumulative count of Article Views (full-text article views including HTML views, PDF and ePub downloads, according to the available data) and Abstracts Views on Vision4Press platform.

Data correspond to usage on the plateform after 2015. The current usage metrics is available 48-96 hours after online publication and is updated daily on week days.

Initial download of the metrics may take a while.