Open Access

Fig. 1.

image

Download original image

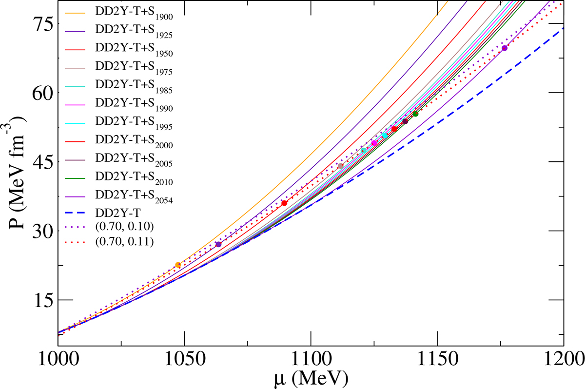
Pressure as a function of baryonic chemical potential for both hadronic phase and quark phase. The solid lines correspond to the hadronic phase with S for which the coupling strength of S remains constant (xS = 0.03), while different values of the mass of S are supposed. The QM EOSs shown with dotted lines are characterized by two key parameters: the diquark coupling (ηD) and the vector meson coupling (ηV), respectively. The hadronic EOS without S is also shown with the dashed blue line as DD2Y-T for comparison. The colored dots show the critical chemical potential in Eq. (8) at which the RIC has been applied.

Current usage metrics show cumulative count of Article Views (full-text article views including HTML views, PDF and ePub downloads, according to the available data) and Abstracts Views on Vision4Press platform.

Data correspond to usage on the plateform after 2015. The current usage metrics is available 48-96 hours after online publication and is updated daily on week days.

Initial download of the metrics may take a while.