Open Access

Fig. 4.

image

Download original image

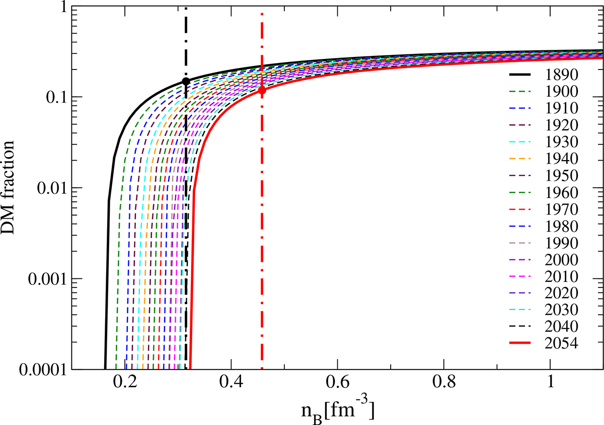
Fraction of S particles as a DM candidate in the hadronic phase calculated using the DD2Y-T model for various S particle masses. The fractions are shown from the respective onset densities up to densities beyond the central density of NSs, illustrating how the S fraction evolves within the purely hadronic phase. The black and red dash-dotted lines indicate the onset densities for the transition to deconfined QM, corresponding to μH for mS = 1890 MeV and mS = 2054 MeV, respectively.

Current usage metrics show cumulative count of Article Views (full-text article views including HTML views, PDF and ePub downloads, according to the available data) and Abstracts Views on Vision4Press platform.

Data correspond to usage on the plateform after 2015. The current usage metrics is available 48-96 hours after online publication and is updated daily on week days.

Initial download of the metrics may take a while.