Open Access

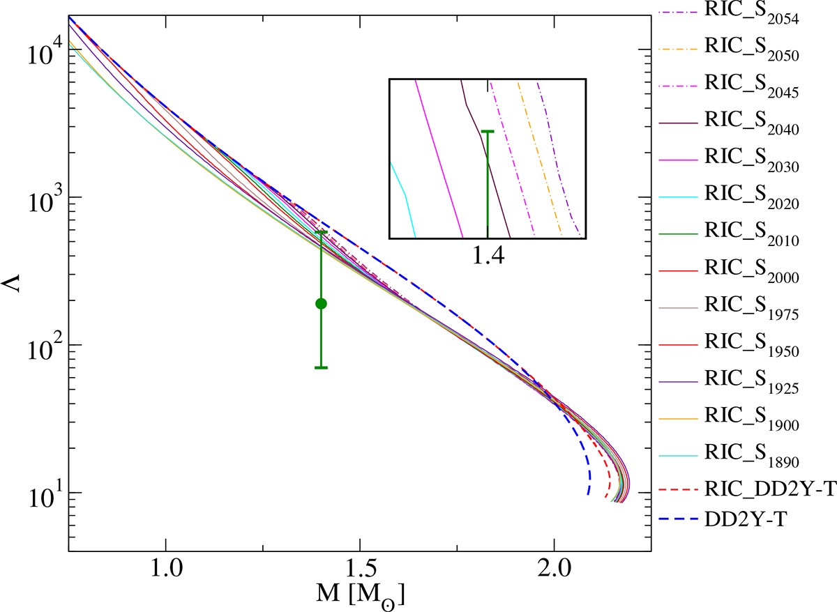
Fig. 6.

image

Download original image

Dimensionless tidal deformability, denoted as Λ, presented as a function of stellar mass for the ensemble of EOSs illustrated in Fig. 5. The vertical green line in the figure signifies the Λ1.4 constraint derived from the low-spin prior analysis of GW170817, as reported in (Abbott et al. 2018).

Current usage metrics show cumulative count of Article Views (full-text article views including HTML views, PDF and ePub downloads, according to the available data) and Abstracts Views on Vision4Press platform.

Data correspond to usage on the plateform after 2015. The current usage metrics is available 48-96 hours after online publication and is updated daily on week days.

Initial download of the metrics may take a while.