Open Access

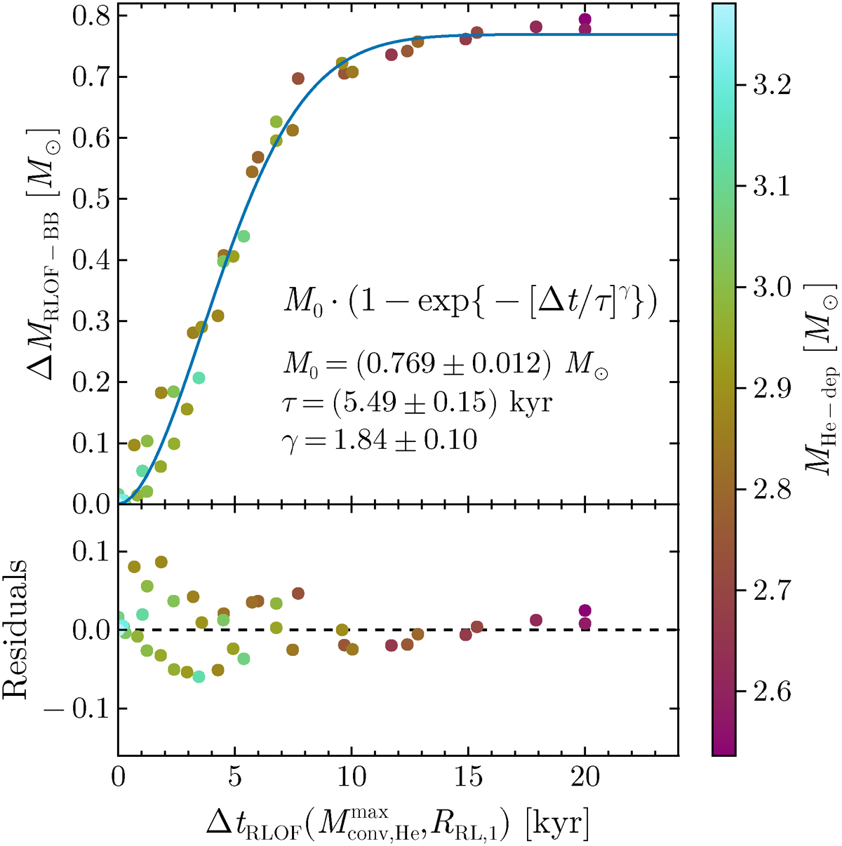
Fig. C.1.

image

Download original image

Fit of ΔMRLOF − BB from the models in EJLD25 as a function of the time between the onset of Case BB RLOF and core-collapse (see text). Each model is color-coded by the mass at core helium depletion MHe − dep. The fitting function and parameters are shown in the top panel. The bottom panel shows the residuals.

Current usage metrics show cumulative count of Article Views (full-text article views including HTML views, PDF and ePub downloads, according to the available data) and Abstracts Views on Vision4Press platform.

Data correspond to usage on the plateform after 2015. The current usage metrics is available 48-96 hours after online publication and is updated daily on week days.

Initial download of the metrics may take a while.