Open Access

Fig. B.1.

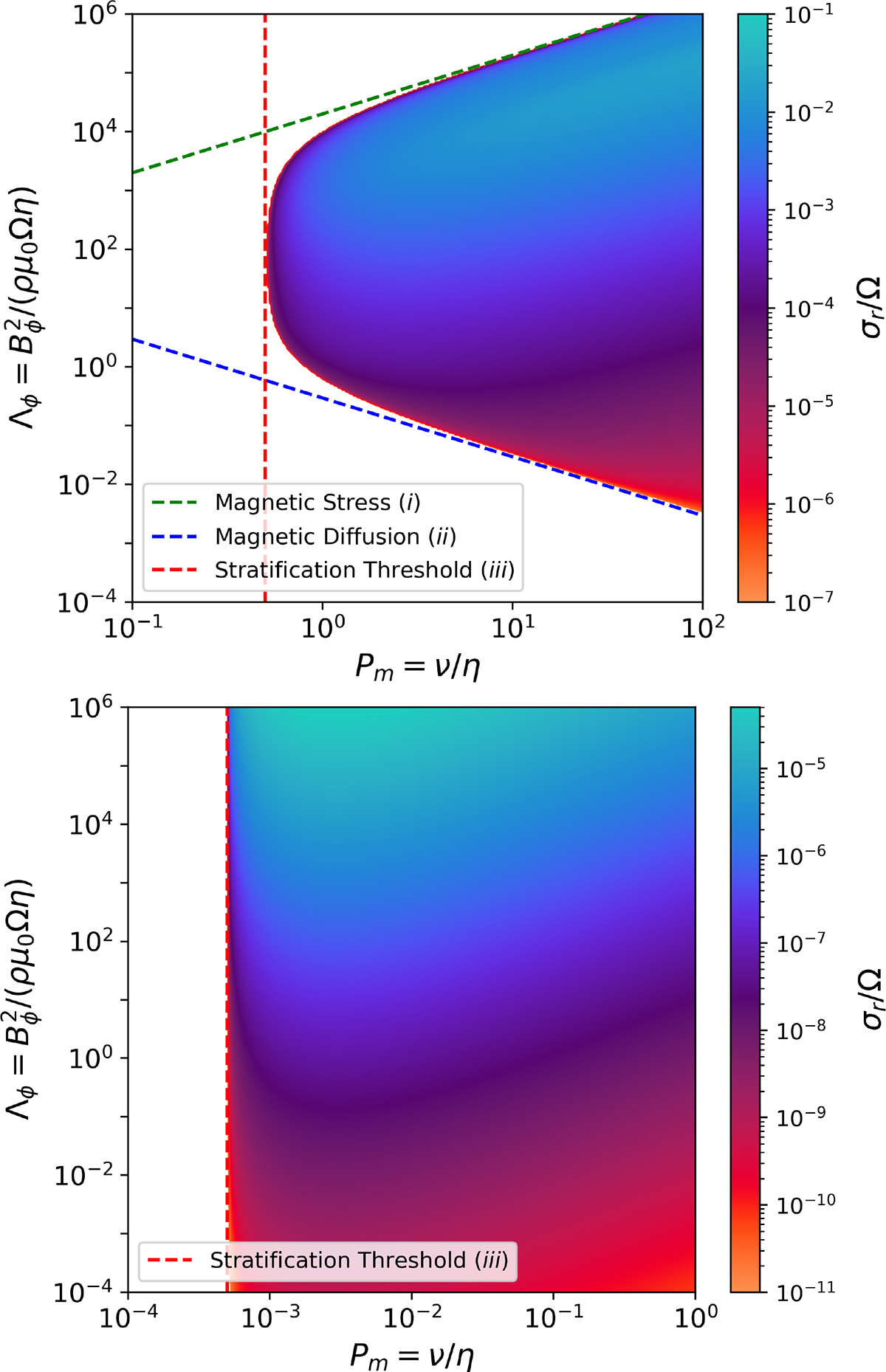
Fig. B.1. Refer to the following caption and surrounding text.

Download original image

Top panel Growth rate σr normalised by Ω in the (Pm, Λϕ) plane of the axisymmetric AMRI, for a regime typical of DNS (see Table 1, with |Ro| = 0.05, ΛZ = 0, (N/Ω)2 = 1, m = 1). The three criteria (Eq. 9) correspond to the limits of the unstable parameter domain. The blank region corresponds to the stable parameter domain. Bottom panel Same study but for the stellar radiative regime set of parameters, |Ro| = 0.05, m = 1 and (N/Ω)2 = 10.

Current usage metrics show cumulative count of Article Views (full-text article views including HTML views, PDF and ePub downloads, according to the available data) and Abstracts Views on Vision4Press platform.

Data correspond to usage on the plateform after 2015. The current usage metrics is available 48-96 hours after online publication and is updated daily on week days.

Initial download of the metrics may take a while.