Open Access

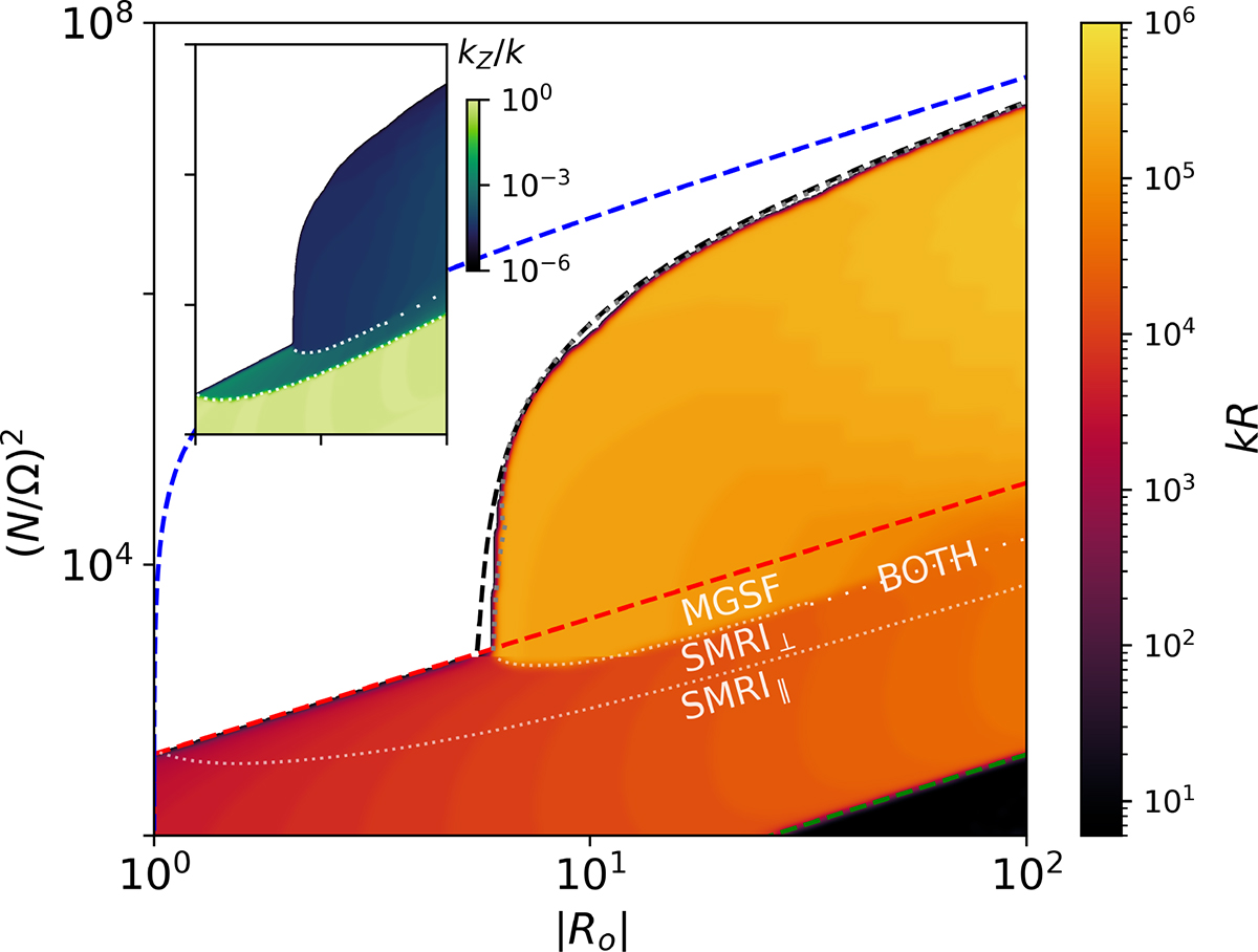
Fig. C.1.

Fig. C.1. Refer to the following caption and surrounding text.

Download original image

Mode wavenumber, k, and orientation, kZ/k, for the instabilities found in the regime of Fig. 5. Different instability domains are identified as follows: SMRI modes share the growth rates of SMRI but are oriented nearly radially. As stratification increases, the SMRI branch is stabilised and MGSF modes dominate. These MGSF modes are clearly distinct from SMRI, exhibiting different growth rates, more horizontal orientation (lower kZ/k), and smaller spatial scales (larger k).

Current usage metrics show cumulative count of Article Views (full-text article views including HTML views, PDF and ePub downloads, according to the available data) and Abstracts Views on Vision4Press platform.

Data correspond to usage on the plateform after 2015. The current usage metrics is available 48-96 hours after online publication and is updated daily on week days.

Initial download of the metrics may take a while.