Open Access

Fig. 2.

Fig. 2. Refer to the following caption and surrounding text.

Download original image

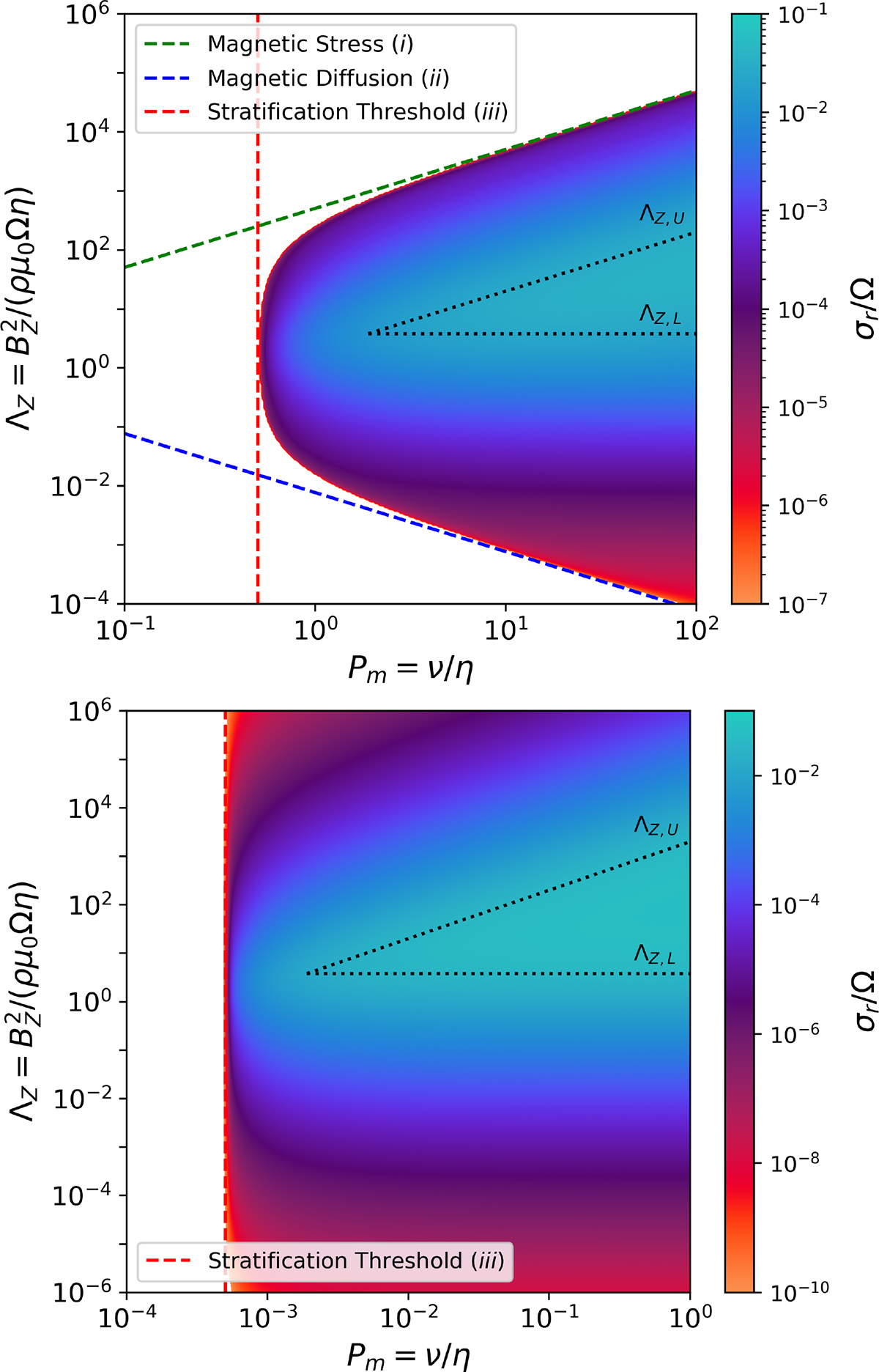
Top panel: Growth rate, σr, normalised by Ω in the (Pm, ΛZ) plane of the axisymmetric SMRI, for a regime typical of DNS. See details in Table 1, with Ro = −0.05, (N/Ω)2 = 1, Λϕ = 0. The three dashed lines correspond respectively to the three criteria Equation (9). The blank region corresponds to the stable parameter domain. The dotted lines correspond to ΛZ, L, ΛZ, U, from the Eq. (12), when ΛZ, U > ΛZ, L. Bottom panel: Growth rate, σr, normalised by Ω in the (Pm, ΛZ) for a regime of radiative stellar region (see Table 1, with Ro = −0.05, (N/Ω)2 = 10, Λϕ = 0).

Current usage metrics show cumulative count of Article Views (full-text article views including HTML views, PDF and ePub downloads, according to the available data) and Abstracts Views on Vision4Press platform.

Data correspond to usage on the plateform after 2015. The current usage metrics is available 48-96 hours after online publication and is updated daily on week days.

Initial download of the metrics may take a while.