Open Access

Fig. 1

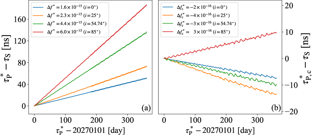
Fig. 1 Refer to the following caption and surrounding text.

Download original image

Left panel: de-synchronizations (Δ*=τp*τsMathematical equation: ${\Delta ^*} = \tau _{\rm{p}}^* - {\tau _s}$) and frequency offsets (∆f) of four numerically simulated time-aligned orbits with different initial inclinations. Right panel: corrected Δc*=τp,c*τsMathematical equation: $\Delta _{\rm{c}}^* = \tau _{{\rm{p,c}}}^* - {\tau _s}$ and Δfc*Mathematical equation: $\Delta f_{\rm{c}}^*$ for the same four simulated orbits by accounting for the deviation of the mean orbital elements in our simulations from the ones required by the time-aligned orbits.

Current usage metrics show cumulative count of Article Views (full-text article views including HTML views, PDF and ePub downloads, according to the available data) and Abstracts Views on Vision4Press platform.

Data correspond to usage on the plateform after 2015. The current usage metrics is available 48-96 hours after online publication and is updated daily on week days.

Initial download of the metrics may take a while.