Open Access

Fig. B.2.

Fig. B.2. Refer to the following caption and surrounding text.

Download original image

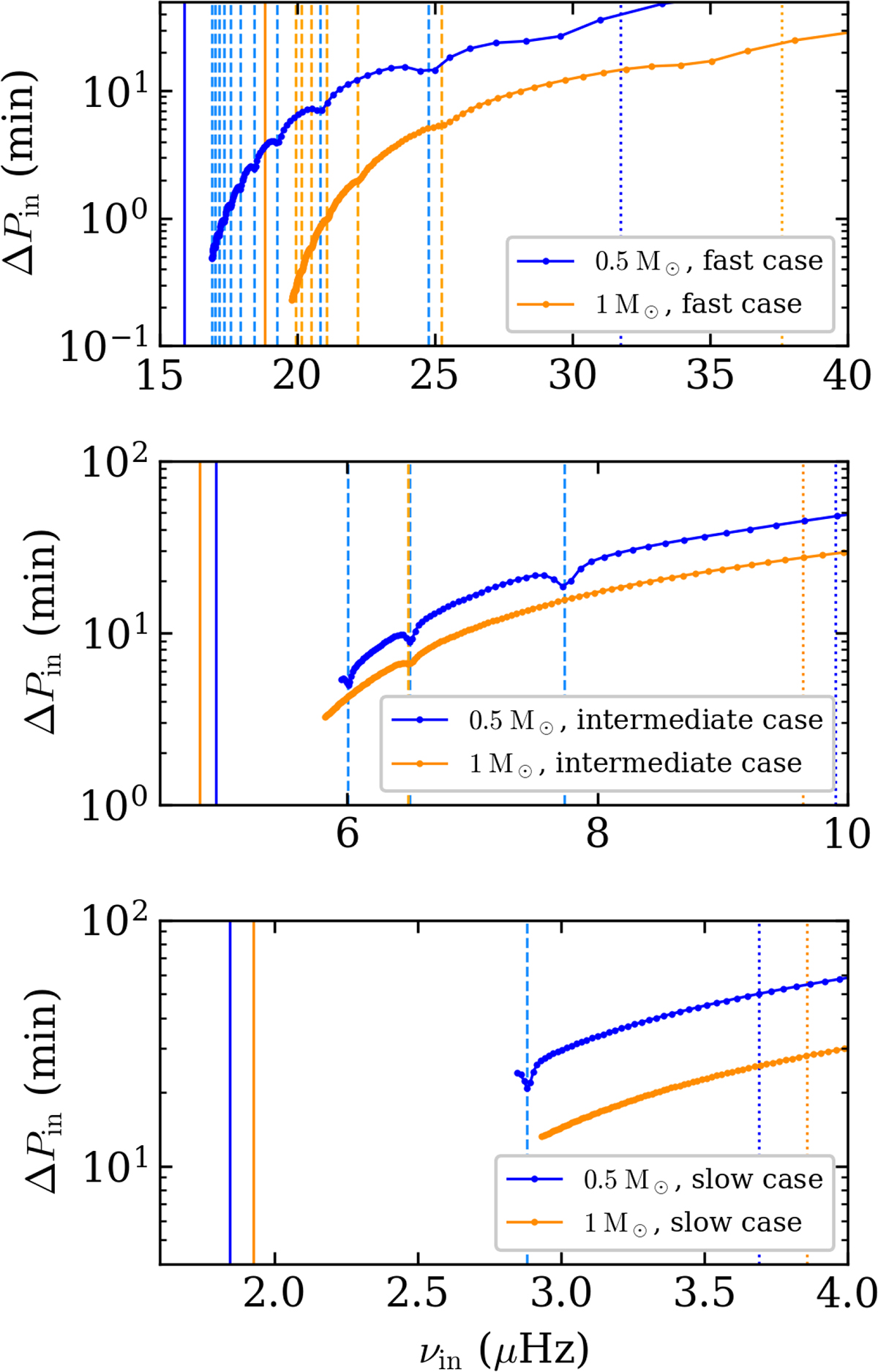
Top:ΔPin vs νin diagram for the fast rotation case. The modes computed for the 0.5 M and 1 M models are represented in orange and blue, respectively, each dot corresponding to a mode. The eigenfrequencies of the envelope inertial modes are highlighted with the vertical dashed lines, in orange and light blue, respectively. For each model, the first and second harmonics of the rotation period are shown by the thick and dotted lines, respectively. Middle: Same as top panel for the intermediate rotation case. Bottom: Same as top panel for the slow rotation case.

Current usage metrics show cumulative count of Article Views (full-text article views including HTML views, PDF and ePub downloads, according to the available data) and Abstracts Views on Vision4Press platform.

Data correspond to usage on the plateform after 2015. The current usage metrics is available 48-96 hours after online publication and is updated daily on week days.

Initial download of the metrics may take a while.