Open Access

Fig. 8.

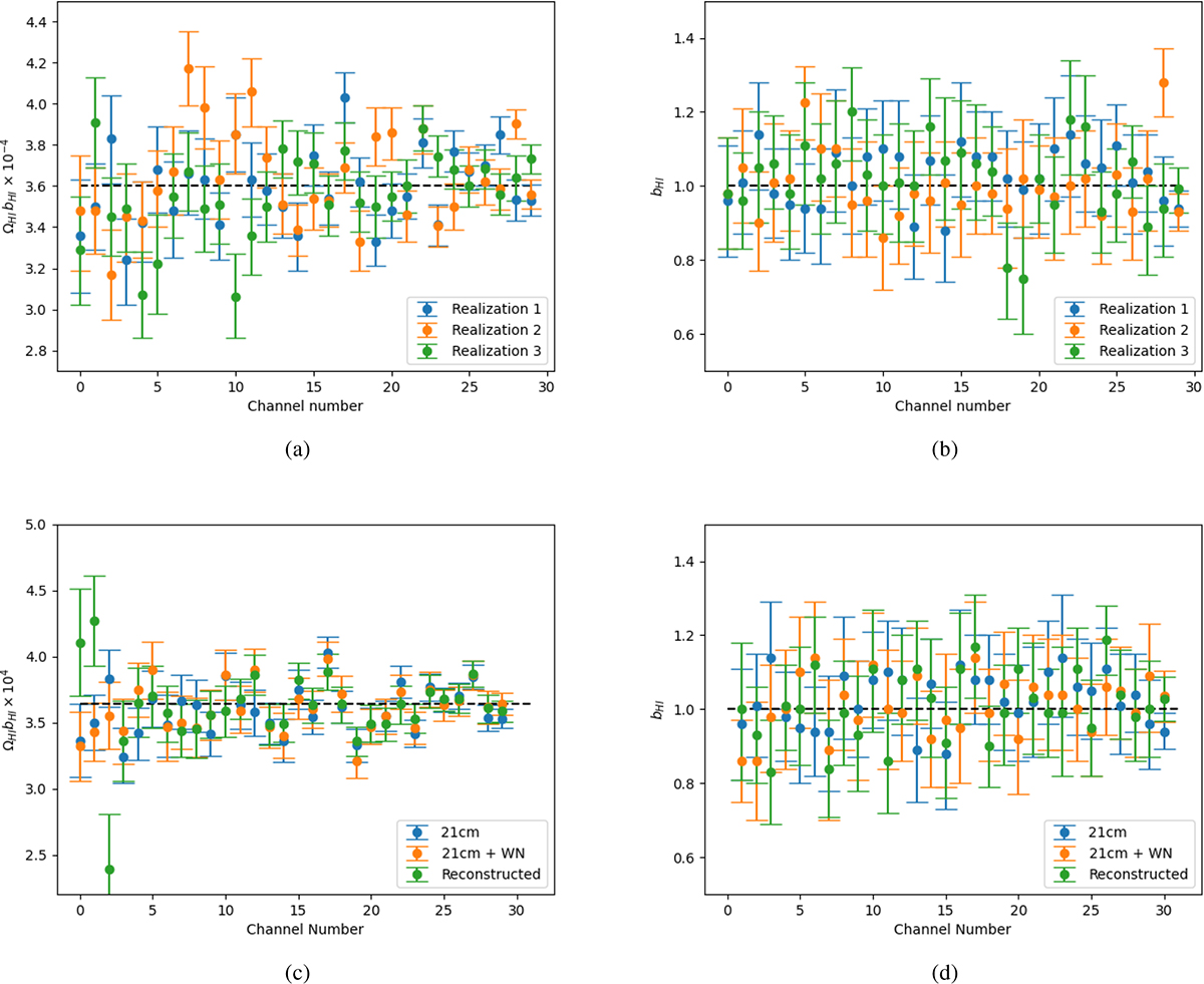
Fig. 8. Refer to the following caption and surrounding text.

Download original image

Marginalized constraints for the 60 HI parameters and 68% credible intervals for BINGO + Planck likelihood. The dashed black lines indicate the truth (fiducial) value of the parameters. In Panels 8a and 8b, we show the constraints for the ΩHIbHI and bHI for three different realizations of the pure cosmological signal. In Panels 8c and 8d we show the constraints for three cases: simulation of the pure cosmological 21 cm signal (blue), simulation including white noise (orange), simulation including white noise and foreground removal (green). We find that we can recover the fiducial values within 1 ∼ 2σ for most of the parameters. This result shows the potential of BINGO to constrain HI history.

Current usage metrics show cumulative count of Article Views (full-text article views including HTML views, PDF and ePub downloads, according to the available data) and Abstracts Views on Vision4Press platform.

Data correspond to usage on the plateform after 2015. The current usage metrics is available 48-96 hours after online publication and is updated daily on week days.

Initial download of the metrics may take a while.