Open Access

Fig. B.3

image

Download original image

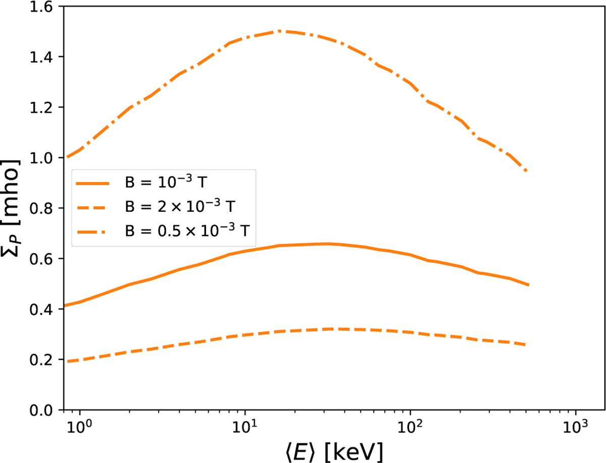
Evolutions of the Pedersen conductance Σp with the mean electron energy 〈E〉 for different values of the magnetic field intensity B. In addition to a change in the magnitude of Σp, the mean energy value that maximizes conductance slightly shifts toward lower (higher) values with an increase (decrease) of B.

Current usage metrics show cumulative count of Article Views (full-text article views including HTML views, PDF and ePub downloads, according to the available data) and Abstracts Views on Vision4Press platform.

Data correspond to usage on the plateform after 2015. The current usage metrics is available 48-96 hours after online publication and is updated daily on week days.

Initial download of the metrics may take a while.