| Issue |
A&A
Volume 658, February 2022
|
|
|---|---|---|
| Article Number | A34 | |
| Number of page(s) | 29 | |
| Section | Interstellar and circumstellar matter | |
| DOI | https://doi.org/10.1051/0004-6361/202141937 | |
| Published online | 27 January 2022 | |
Observations of multiple NH3 transitions in W33
1
Xinjiang Astronomical Observatory, Chinese Academy of Sciences,
Urumqi
830011,
PR China
e-mail: This email address is being protected from spambots. You need JavaScript enabled to view it.
; This email address is being protected from spambots. You need JavaScript enabled to view it.
2
University of Chinese Academy of Sciences,
Beijing
100080,
PR China
3
Max-Planck-Institut für Radioastronomie,
Auf dem Hügel 69,
53121
Bonn,
Germany
e-mail: This email address is being protected from spambots. You need JavaScript enabled to view it.
4
Astronomy Department, King Abdulaziz University,
PO Box 80203,
21589
Jeddah, Saudi Arabia
5
Key Laboratory of Radio Astronomy, Chinese Academy of Sciences,
Urumqi
830011,
PR China
6
Institut für Physik und Astronomie, Universität Potsdam,
Karl-Liebknecht-Str. 24/25,
14476
Golm, Germany
7
Leiden Observatory, Leiden University,
PO Box 9513,
2300 RA
Leiden, The Netherlands
Received:
2
August
2021
Accepted:
10
November
2021
Abstract
At a distance of 2.4 kpc, W33 is an outstanding massive and luminous 10 pc-sized star forming complex containing quiescent infrared dark clouds as well as highly active infrared bright cloud cores heated by young massive stars. We report measurements of ammonia (NH3) inversion lines in the frequency range 18–26 GHz obtained with the 40′′ resolution of the 100 m Effelsberg telescope. We detect the (J, K) = (1,1), (2,2), (3,3), (4,4), (5,5), (6,6), (2,1), and (3,2) transitions. There is a maser line in the (3,3) transition towards W33 Main. Brightness temperature and line shape indicate no significant variation during the last ~36 yr. We determined kinetic temperatures, column densities, and other physical properties of NH3 and the molecular clouds in W33. For the total-NH3 column density inside 40′′ (0.5 pc) regions, we find 6.0 (±2.1) × 1014, 3.5 (±0.1) × 1015, 3.4 (±0.2) × 1015, 3.1 (±0.2) × 1015, 2.8 (±0.2) × 1015, and 2.0 (±0.2) × 1015 cm−2 at the peak positions of W33 Main, W33 A, W33 B, W33 Main1, W33 A1, and W33 B1, respectively. W33 Main has a total-NH3 fractional abundance of 1.3 (±0.1) × 10−9 at the peak position. High values of 1.4 (±0.3) × 10−8, 1.6 (±0.3) × 10−8, 3.4 (±0.5) × 10−8, 1.6 (±0.5) × 10−8, and 4.0 (±1.2) × 10−8 are obtained at the central positions of W33 A, W33 B, W33 Main1, W33 A1, and W33 B1. From this, we confirm the previously proposed variation in the evolutionary stages of the six W33 clumps and find that there is no hot core in the region approaching the extreme conditions encountered in W51-IRS2 or Sgr B2. The ortho-to-para-NH3 abundance ratios suggest that ammonia should have been formed in the gas phase or on dust grain mantles at kinetic temperatures of ≳20 K. We determine kinetic temperatures only using NH3 (1,1) and (2,2), and from this we provide gas volume densities for the six main sources in the W33 region. With our new Tkin values, we find that our volume densities are similar to those estimated by Immer et al. (2014, A&A, 572, A63), suggesting that ammonia beam-filling factors are close to unity.
Key words: masers / ISM: clouds / ISM: individual objects: W33 / HII regions / ISM: molecules / radio lines: ISM
© ESO 2022
1 Introduction
The pyramidal ammonia (NH3) molecule provides a unique opportunity to trace molecular cloud excitation up to temperatures of ~2000 K by observing its characteristic inversion transitions within a limited frequency interval (20–50 GHz; e.g., Ho & Townes 1983; Wilson et al. 2006). The most accessible lines cover an even smaller range of between 20 and 30 GHz. The frequencies of the lines connecting the two states of an inversion-doublet (arising from oscillations of the nitrogen nucleus through the plane of the three hydrogen nuclei) depend on the total angular momentum J and its projection on the molecular axis, K, with K = 0, 3, 6, 9, and so on belonging toortho-NH3 and K = 1, 2, 4, 5, 7, and so on representingpara-NH3.
Dozens of inversion lines can be detected wherever there exist sufficient kinetic temperatures and ammonia column densities. These conditions prevail in “hot cores”, that is, dense molecular clumps nearsites of very recent massive star formation (e.g., Mauersberger et al. 1986a, 1988; Henkel et al. 1987, 2013; Hermsen et al. 1988; Cesaroni et al. 1992; Huttemeister et al. 1993, 1995; Wilson et al. 1993; Zhang & Ho 1997; Goddi et al. 2011). The enormous NH3 column densities reaching up to > 1019 cm−2 are believedto be caused by dust grain mantle evaporation (e.g., Henkel et al. 1987; Walmsley et al. 1987; Brown et al. 1988). The warm dense clumps are characterized by temperatures Tkin > 100 K, χ(para-NH3) = N(NH3)/N(H2) ~10−5…−6 and source averaged ammonia column densities regularly surpassing 1018 cm−2, while star forming regions in earlier or later evolutionary stages are characterized by lower values.
Ortho- and para-NH3 can be considered as almost independent molecules, with mixing rates of order 10−6 yr−1 (Carruthers 1969). Dipole transitions between K-ladders are forbidden. Within each K-ladder, states with (J > K) are non-metastable; these can decay rapidly (10–100 s) via far-infrared (FIR) △ J = 1 transitions to the J = K metastable levels. The metastable inversion doublets provide the bulk of the emission outside hot cores and decay via the much slower (~ 109 s) △K = ±3 transitions. Metastable transitions have very similar excitation temperatures in the case of para-NH3 and hence the assumption of equal Tex used to derive rotation temperatures between different K-ladders is justified (Morris et al. 1973; Danby et al. 1988). The situation is different for ortho-NH3, where, due to peculiarities of the K = 0 ladder (single states instead of inversion doublets; e.g. Guilloteau et al. 1983), the behavior of the excitation temperatures of the metastable levels is not as simple. In particular, one finds that the (3,3) line should be inverted in a fairly relevant density range (e.g., ~ 104--105 cm−3 for Tkin ~ 50 K). This effect is caused by the forbidden nature of collisions between the lower (3,3) level, (3,3 –), and the ground (0,0) state (Walmsley & Ungerechts 1983). Because of its large number of transitions that are sensitive to a wide range of excitation conditions and the fact that it can be detected in a great variety of regions, NH3 is perhaps second only to CO in importance and an absolutely essential tracer to be studied wherever molecular gas is prominent.
With its relatively small distance of ~2.4 kpc (Immer et al. 2013), W33 is an outstanding massive (≳105 M⊙) and luminous (106 L⊙) 10 pc-sized star forming complex (Fig. 1) that contains regions ranging from quiescent infrared dark clouds to highly active infrared bright hotspots associated with young massive stars (e.g., Immer et al. 2014; Messineo et al. 2015). Masing transitions of water and methanol have been detected in W33 A and W33 B at the edges, and in W33 Main at the center of the complex (e.g., Genzel & Downes 1977; Jaffe et al. 1981; Menten et al. 1986; Haschick et al. 1990; Immer et al. 2013), while OH masers reside in W33 A and W33 B (Wynn-Williams et al. 1974; Caswell 1998). A cluster of three IR sources located in W33 Main was detected by Dyck & Simon (1977), while W33 A contains an IR source with deep absorption features at 3 and 10 μm (Dyck & Simon 1977; Capps et al. 1978; de Wit et al. 2010). Young stellar clusters are associated with W33 A, W33 B, and W33 Main. W33 Main also exhibits strong radio continuum emission (Stier et al. 1984; Hoare et al. 2012).
These sources provide targets at quite different evolutionary stages (see Table 1). W33 Main1, W33 A1, and W33 B1 are high-mass protostellar objects, with W33 Main1 being in a particularly early stage devoid of any substantial heating source. The other two objects appear to be warmer and thus more evolved. W33 A and W33 B have been considered as hot cores (Immer et al. 2014), with their complex chemistry being greatly influenced by recently evaporated dust grain mantles. W33 Main is even more evolved, also hosting an H ii region giving rise to strong radio continuum emission (e.g., Stier et al. 1984). Finally, there are the stellar clusters which have already successfully dispersed most or all of their ambient molecular material (e.g., Messineo et al. 2011, 2015). In the present survey, we mainly study W33 Main, W33 A, W33 B, W33 Main1, W33 A1, and W33 B1 (see Fig. 1). The regions observed by us in NH3 are marked by five different boxes in Fig. 1. Furthermore, detailed source parameters of the six W33 clumps are given in Table 1.
W33 has not yet been systematically studied in NH3. Published information on this region includes the 2.5′ resolution NH3 (1,1) map by Purcell et al. (2012), the 5′′ resolution NH3 (1,1) channel maps by Keto & Ho (1989), (1,1) and (2,2) emission from W33 A by Galván-Madrid et al. (2010), and the four principal metastable lines ((J, K) = (1,1) to (4,4)) toward W33 Main (Wilson et al. 1982), but these data are far short of what can be reached nowadays with new K-band broadband receivers ranging from 18 to 26 GHz.
In this paper, we provide a systematic study of the spectral characteristics of W33 in the λ ~ 1.3 cm band with the Effelsberg-100 m telescope ranging between 18 and 26 GHz. The article is organized as follows: In Sect. 2 we introduce our observations and data reduction. Results are highlighted in Sect. 3. The discussion ispresented in Sect. 4 and our main conclusions are summarized in Sect. 5.
Source parameters of the six W33 clumps.
![]() |
Fig. 1 Color image of the high-mass star forming complex W33 and its surroundings (blue for 70 μm, red for 160 μm, all derived from Herschel data). The six boxes indicate the regions observed by us in NH3. |
Measured NH3 transition parameters.
2 Observations and data reduction
2.1 NH3 observations
The data were taken in January 2018 with the 100-m Effelsberg telescope1 near Bonn/Germany. Measurements were carried out with a dual channel (LCP/RCP) K-band (17.9–26.2 GHz) HEMT receiver. With Tsys ~ 60 K on a
scale, the 5σ noise level is ~30 mK for 1 km s−1 wide channels. Four subbands, WFF4 (17.9–20.4 GHz), WFF3 (20.0–22.5 GHz), WFF2 (21.6–24.1 GHz), and WFF1 (23.7–26.2 GHz), simultaneously covered the entire frequency range with an overlap of at least 300 MHz between adjacent sub-bands. Over this whole frequency range, the full width at half maximum (FWHM) beam size varied from 35′′ (0.4 pc) to 50′′ (0.6 pc) (~ 40′′ (0.5 pc) at 23 GHz).
The survey encompasses a total of ~20 observing hours. The focus was checked every few hours, in particular after sunrise and sunset. Pointing was obtained every hour toward a nearby pointing source (mostly toward PKS 1830–211) and was found to be accurate to about 5′′. The strong continuum source 3C 286 was used to calibrate the spectral line flux, assuming a standard flux density of 2.5 Jy at 22 GHz (Ott et al. 1994). The conversion factor from Janskys (Jy) on a flux density scale (Sν) to Kelvin (K) on a main beam brightness temperature scale (Tmb) is Tmb/Sν ~ 1.7 K Jy−1 at 18.5 GHz, 1.5 K Jy−1 at 22 GHz, and 1.4 K Jy−1 at 23.7 GHz. All velocities are with respect to the Local Standard of Rest (LSR). Specific observational details of the eight detected transitions of NH3 are listed in Table 2.
For the six W33 sources (Fig. 1), a total of 218 positions were measured. Of these, 182 belong to the region containing W33 Main and W33 Main1, 9 positions were observed to map W33 A, 17 positions are related to W33 B, and 9 positions to W33 B1. Only the central position was observed towards W33 A1. The sizes of the different maps shown in Fig. 1 are listed in Table 1. In most cases, a total of four minutes of on + off source-integration time was spent on individual positions. However, to control potential variations in pointing and calibration, the central continuum position of W33 Main (see Table 1) was frequently measured. We fitted the NH3 (1,1) main lines (the central group of NH3 (1,1) hyperfine components) to study the stability of the system (see Sects. 3.1 and 4.5 for details). All data were taken in a position-switching mode with offset positions 900′′ in azimuth, alternating between right and left. The spacing of the maps is 20′′. Thus, the maps are fully sampled.
2.2 Data reduction
The CLASS packages of GILDAS2 were used for all the data reduction. For ammonia, we chose two fitting methods, ‘GAUSS’ fit and NH3 (1,1) fit. In order to convert hyperfine blended line widths to intrinsic line widths in the ammonia inversion spectrum (e.g., Barranco & Goodman 1998), we fitted the averaged spectra using the GILDAS routine “NH3 (1,1)” fitting method which can fit all 18 hyperfine components simultaneously. From the NH3 (1,1) fit, we obtain integrated intensity ∫ TMBdυ, the LSR line center velocity VLSR, intrinsic line widths of individual hyperfine structure (hfs) components Δv, and optical depth τ (see Table A.1). The ‘GAUSS’ fit was used to obtain integrated intensities ∫ TMBdυ, line center velocities VLSR, and line widths Δv of the other seven observed NH3 transitions (see Table 2 and, in the Appendix, e.g. Tables A.2 to A.4 for the (2,2) to (4,4) lines). Main beam brightness temperatures TMB of all the eight detected transitions are also obtained from the ‘GAUSS’ fit (see Tables A.1 to A.4).
3 Results and analysis
3.1 The ammonia peak positions
We provide the molecular lines and line parameters obtained by Gaussian or hyperfine structure fits toward the peak positions in our survey. We detected theNH3 (1,1), (2,2), (3,3), (4,4), (5,5) and (6,6) metastable lines in W33 Main, W33 A, and W33 B (see Figs. 2 and 3). The non-metastable (2,1) and (3,2) transitions were also detected toward these molecular hotspots in the W33 region (see Fig. 3 right panel). The (1,1), (2,2), (4,4), (5,5), and (6,6) inversion lines were detected in absorption against the radio continuum in W33 Main (see Fig. 2 left panel). For W33 Main, the (J, K) = (1,1), (2,2), (4,4), (5,5) and (6,6) absorption lines exhibit a two-component velocity structure with VLSR ~ 33 km s−1 and VLSR ~ 38 km s−1 at offsets (Δα, Δδ) = (0′′, 0′′) and (+20′′, 0′′) with respect to the reference position RA: 18:14:13.50, Dec: −17:55:47.0 (J2000; see also Table 1). We also obtained a tentative (7,7) absorption line, but its signal-to-noise ratio (S/N) of 2.1 is low. Other offset positions present emission lines, showing only a single velocity component (Fig. 2 left panel, Figs. A.1 to A.6, and Tables 3, 4, A.1 to A.4). The (3,3) line shows significant emission near the central (0′′, 0′′) offset positions (see Fig. A.3), showing only one velocity component, which is intermediate between the above mentioned 33 km s−1 and 38 km s−1 features. The single emission component is wide enough to cover both features seen in the absorption lines of the other transitions. The absorption in the other lines appears to originate from a region smaller than our beam because the NH3 (4,4) line shows weak emission at offsets (Δα, Δδ) = (-20′′, 0′′) and (− 20′′, +20′′), the NH3 (5,5) line shows weak emission at offsets (− 20′′, +20′′) and (− 20′′, −20′′), and the (6,6) line also shows emission at the offset (− 20′′, 0′′) (see Figs. A.4, A.5, and A.6).
The peak position of W33 Main was frequently measured during the observing sessions (because of the low declination of W33, each session only lasted a few hours). Using this data set, we calculated the values and standard deviations of the mean of the resulting flux densities for the NH3 (1,1), (2,2), and (3,3) lines (see Appendix B). Figures B.1 and B.2 show the resulting values as a function of elevation for the NH3 (1,1) and (3,3) lines and also as a function of time for the (3,3) transition. We note that due to the low elevations of the source, differences in our corrections for elevation-dependent gain variations of the telescope are minimal. These mainly play a role at high elevations. The standard deviations of the mean of the flux densities for the NH3 (1,1) and (2,2) metastable transitions (the latter is not shown in Appendix B) are 4.2% and 4.0%, respectively, with flux densities of −1.33 Jy and − 0.95 Jy, corresponding to −1.86 K and − 1.33 K on a main beam brightness temperaturescale. For the NH3 (3,3) line, the most intense in this analysis, the scatter is slightly larger, with a standard deviation of the mean of 4.4%, while line shapes remain undistinguishable. Also in this case, the fluctuations are well below the level that would convincingly indicate source variability.
Towards W33 A and W33 B, the NH3 (1,1) to (6,6) lines are in emission (see Fig. 2, right panel, and Fig. 3, left panel). Here, the NH3 (1,1) to (3,3) lines exhibit the strongest emission at all offsets (see Figs. A.7 and A.8). The (4,4) to (6,6) lines show weak emission at the central (Δα, Δδ) = (0′′, 0′′) offsets while the signals at the (+ 20′′, 0′′) and (− 20′′, 0′′) offsets are even fainter (see Table 1 and Figs. A.7 and A.8). Whether or not we have also detected the (7,7) line is not clear. Here the S/N is only 1.8. The two nonmetastable lines (J > K, K) = (2,1) and (3,2) are detected toward the central positions of W33 Main, W33 A, and W33 B (see the right panel of Fig. 3 as well as Figs. A.7 and A.8).
We also detect the NH3 (1,1), (2,2), (3,3), and (4,4) metastable emission lines in W33 Main1 and W33 A1. Towards W33 B1 we only see the NH3 (1,1), (2,2), and (3,3) emission lines. The nonmetastable NH3 (2,1) and (3,2) transitions were not detected in these W33 regions (see Figs. 4 and 5). W33 Main1, showing extended emission, is also tentatively detected in the (6,6) transition of ortho-NH3 (Fig. 4). W33 B1 shows extended emission in the (1,1), (2,2), and (3,3) lines, which are strongest toward the (0′′, 0′′) and (0′′, +20′′) offset positions. Weak emission is also seen at offsets (0′′, -20′′), (− 20′′, 0′′), and (− 20′′, +20′′) and the three positions with a right ascension offset of + 20′′ (see Fig. A.9).
![]() |
Fig. 2 NH3 spectra of metastable lines at offset (0′′, 0′′) with respect to the reference positions given in Table 1 for W33 Main (left panel) and W33 A (right panel). The channel widths are 0.48, 0.48, 0.48, 0.47, 0.47, 0.46, and 0.44 km s−1 for the NH3 (1,1) to (7,7) lines, respectively. The velocity scale is LSR, both here and elsewhere. |
![]() |
Fig. 3 NH3 spectra of metastable lines at offset (0′′, 0′′) with respectto the reference positions given in Table 1 for W33 B (left panel). Nonmetastable lines from W33 Main, W33 A, and W33 B are shown in the right panel. Channel widths are 0.48, 0.48, 0.48, 0.47, 0.47, 0.46, and 0.44 km s−1 for the NH3 (1,1) to (7,7) lines, respectively, while the corresponding values for the NH3 (2,1) and (3,2) lines are 0.49 and 0.50 km s−1. |
![]() |
Fig. 4 NH3 spectra of metastable lines at offset (0′′, 0′′) with respect to the reference positions given in Table 1 for W33 Main1 (left panel) and W33 A1 (right panel). The channel widths are 0.48, 0.48, 0.48, 0.47, 0.47, 0.46, and 0.44 km s−1 for the NH3 (1,1) to (7,7) lines, respectively. |
3.2 NH3 distribution
A total of 218 positions were measured (see Sect. 2.1). Of these, 168, 130, and 86 were detected at a 3σ level in case of the NH3 (1,1), (2,2), and (3,3) lines, respectively. This sigma (σ) value is the peak/rms value multiplied by the square root of the number of channels contributing significantly to the line. NH3 (1,1), (2,2), and (3,3) velocity-integrated intensity maps of the main groups of hyperfine components for the W33 Main and W33 Main 1 regions are presented in Fig. 6. Intensities were integrated over the LSR velocity (VLSR) range of 32–40 km s−1. The NH3 (1,1) emission shows an extended distribution and traces the denser molecular structure. NH3 (2,2) is detected in a slightly less extended region, while the NH3 (3,3) distribution is even more compact. In each panel, the half-power beam width is illustrated as a gray circle in the lower left corners of the images. The limits of the mapped region are indicated with gray dashed lines.
All our metastable and nonmetastable transitions exhibit the well-known comparatively broad VLSR ~ 36 km s−1 to VLSR ~ 58 km s−1 total velocity range (e.g., Immer et al. 2013, 2014). W33 Main, W33 A, W33 Main1, W33 A1, and W33 B1 absorption and emission lines have an observed radial velocity range of 32–40 km s−1, while the W33 B lines show a different central radial velocity of ~58 km s−1 (see Figs. 2–5). These two radial velocities are consistent with those found in the CO observations of Goldsmith & Mao (1983).
![]() |
Fig. 5 NH3 spectra of metastable lines at offset (0′′, 0′′) with respect to the reference positions given in Table 1 for W33 B1 (left panel). Nonmetastable lines from W33 Main1, W33 A1, and W33 B1 are shown in the right panel. Channel widths are 0.48, 0.48, 0.48, 0.47, 0.47, 0.46, and 0.44 km s−1 for the NH3 (1,1) to (7,7) lines, respectively, while the corresponding values for the NH3 (2,1) and (3,2) lines are 0.49 and 0.50 km s−1. |
3.3 NH3 column density
Tables 3 and 4 list main beam brightness temperatures, velocities, FWHM linewidths, optical depths, and column densities for all measured transitions toward the six reference positions (Table 1). Towards the reference position of W33 Main, opacities of the NH3 (1,1), (2,2), (4,4), (5,5), and (6,6) absorption lines (Table 3) were calculated using
(1)
where TL is the observed line temperature assuming full continuum source coverage and Tc is the corresponding temperature of the continuum source.
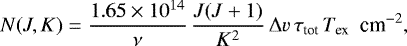
In the case of lines showing significant saturation effects, and so that the optical depth can be determined using the GILDAS “NH3 (1,1)” fitting method (see Sect. 2.2), the column density in the (J, K) state is obtained with the optical depth τtot, following Mauersberger et al. (1986a), by
(2)
where N is in cm−2, the FWHM line width Δv is in km s−1, the line frequency ν is in GHz, and the excitation temperature Tex is in K. In the optically thick case, the excitation temperature Tex is derived from the main beam brightness temperatures TMB and the optical depth τ by
(3)
In the optically thin case, the main beam brightness temperatures TMB can be approximated by Tex τ, so that Eq. (2) can also be used in these instances.
The logarithm of normalized column densities, log N∕[(2J + 1)gop], as a function of the energy of the involved states above the ground state is shown in Fig. 7. Normalization is obtained by dividing N(J, K) by the statistical weight of the respective transition, (2J + 1) gop, with gop = 1 for para-NH3 (K = 1, 2, 4, 5, 7, 8, 10) and gop = 2 for ortho-NH3 (K = 3, 6, 9).
![]() |
Fig. 6 Integrated intensity maps of NH3 (1,1) (left), (2,2) (middle), and (3,3) (right) for the W33 Main and W33 Main1 regions. The reference position is RA: 18:14:13.50, Dec: −17:55:47.0 (J2000). Theintegration range is 32 to 40 km s−1. Contours start at 3.14 K km s−1 (3σ) on a main beam brightness temperature scale and go up in steps of 3.14 K km s−1. The unit of the color bar is K km s−1. The limits of the mapped region are indicated with gray dashed lines. While the NH3 (1,1) and (2,2) lines show absorption near the reference position, the (3,3) line emission indicates a peak in this region. The half-power beam width is illustrated as a gray filled circle in the lower left corners of the images. |
Line parameters for the NH3 absorption component.
Line parameters for the NH3 emitting component.
3.4 Rotation temperature
We calculated the rotation temperature between different energy levels with Trot = –loge∕a ≈ –0.434/a (Henkel et al. 2000), where the slope a is obtained by linear fitting the Boltzmann plot, relating normalized intensity to excitation above the ground state. Figure 7 shows the rotation diagrams for the six metastable and two nonmetastable NH3 absorption lines for W33 Main and all the clearly detected W33 A, W33 B, W33 Main1, W33 A1, and W33 B1 emission lines, respectively. In the six main W33 sources, all our NH3 lines with the exception of the (J, K) = (1,1) transition are optically thin. The NH3 (1,1) line is always optically thick (see Tables 3, 4). In this case, the derived optical depth affects the determination of the column density in the (1,1) state. This effect is estimated using Eqs. (2) and (3) in Sect. 3.3.
The upper left panel of Fig. 7 shows the Boltzmann plots of the two velocity components of the W33 Main absorption lines (for the position, see Table 1), where the first velocity component (VLSR ~ 33 km s−1) of the two inversion transition lines NH3 (J, K) = (1,1) and (2,2) gives the value Trot = 23 ± 5 K. For the (2,2) and (4,4) lines, we obtain Trot = 84 ± 3 K, while the (4,4) and (5,5) lines give Trot = 75 ± 2 K. The rotational temperature of the para-NH3 species obtained by fitting all four absorption lines is Trot = 64 ± 11 K. The second velocity component (VLSR ~ 38 km s−1) has Trot = 38 ± 6 K for the NH3 (J, K) = (1,1) and (2,2) transitions. For the NH3 (2,2) and (4,4) lines, the corresponding value becomes 64 ± 1 K. The NH3 (4,4) and (5,5) lines give 71 ± 3 K and a fit to all four para-NH3 transitions indicates 62 ± 4 K (see Fig. 7 top left panel and Table 5). No Trot value can be derived from ortho-NH3, because the (3,3) line is seen in emission and shows quite a different line shape.
For the W33 A emission lines (position in Table 1), we obtain Trot = 45 ± 9 K by fitting the para-NH3 (1,1), (2,2), (4,4) and (5,5) lines, and Trot = 82 ± 5 K for the (3,3) and (6,6) ortho-NH3 transitions. For para-NH3, the (1,1) and (2,2) lines give Trot = 15 ± 1 K, while the (2,2) and (4,4) lines give 56 ± 2 K, the (4,4) and (5,5) lines give 65 ± 7 K, and the (2,1) and (3,2) lines yield 34 ± 3 K (see Fig. 7 top right panel, and Table 5). For W33 B (see Table 1 for the position), the four para-NH3 emission lines, that is, the (1,1), (2,2), (4,4), (5,5) transitions, give Trot = 44 ± 12 K. In contrast, the (3,3) and (6,6) ortho-NH3 lines yield Trot = 107 ± 8 K. The rotation temperature between the lowest inversion doublets of para-NH3, the (1,1) and (2,2) lines, is Trot = 11 ± 1 K, while the (2,2) and (4,4) lines give 52 ± 5 K. The other two para-NH3 transitions, (4,4) and (5,5), give Trot = 126 ± 19 K. The two nonmetastable lines (2,1) and (3,2) yield Trot = 50 ± 6 K (see Fig. 7, second row, left panel and Table 5). For W33 Main 1 (see Table 1 for the reference position), we get Trot = 29 ± 9 K by fitting the three para-NH3 species, that is, the (1,1), (2,2), and (4,4) transitions. The NH3 (1,1) and (2,2) lines show Trot = 12 ± 1 K, and the (2,2) and (4,4) lines give 41 ± 4 K (see Fig. 7, second row, right panel and Table 5). For W33 A 1, the three para-NH3 transitions give Trot = 31 ± 11 K. For the rotational temperature, (1,1) and (2,2), (2,2), and (4,4), we obtain 11 ± 1 K and 47 ± 4 K, respectively (Fig. 7 third row, left panel and Table 5). For the W33 B1 emission lines, the (1,1) and (2,2) para-NH3 transitions indicate Trot = 11 ± 1 K (see Fig. 7 third row, right panel and Table 5).
![]() |
Fig. 7 Boltzmann plots (rotation diagrams) for the W33 Main absorption lines (top left), W33 A emission lines (top right), W33 B emission lines (second row left), W33 Main1 emission lines (second row right), W33 A1 emission lines (third row left), and W33 B1 emission lines (third row right). The positions taken are those of Table 1. The solid and dashed lines in the top left panel represent the first velocity component at VLSR ~ 33 km s−1 and second velocity component at VLSR ~ 38 km s−1, respectively. For para-NH3, gop = 1. For ortho-NH3, here the (3,3) and (6,6) levels, gop = 2. The rotational temperatures are obtained from the corresponding slopes. The numbers mark the rotational temperatures in K. |
3.5 Kinetic temperature
To obtain kinetic temperatures, Tkin, of all observed regions of our map, the NH3 (1,1) and (2,2) lines are the best choice because their emission is relatively extended (see Fig. 6). We obtained the rotation temperature of NH3 (1,1) and (2,2) using the same method described in Sect. 3.4, which is equivalent to
(4)
where N11 and N22 are the column densities of NH3 (1,1) and (2,2) lines from Eqs. (2) and (3). The optically thick NH3 (1,1) line is not only relevant when deriving column densities of the (1,1) state but also when deriving the rotation temperatures of the gas traced by both the NH3 (1,1) and (2,2) transitions. We account for this effect using Eq. (4) in this section. We then calculate the Trot values, which are presented in Table A.5. To better visualize our Trot values, in the left panel of Fig. C.1 we add the rotational temperature Trot map of all observed regions, where Eq. (4) has been used to calculate the corresponding Trot values.
Following Tafalla et al. (2004) to connect rotational with kinetic temperatures, we used
(5)
where the energy gap between the (1,1) and (2,2) states is ΔE12 = 41.5 K. Tafalla et al. (2004) ran different Monte Carlo models involving the NH3 (J, K) = (1,1), (2,1), and (2,2) inversion doublets and an n(r) =
density distribution to compare their observationally determined approximately constant rotational temperatures with modeled kinetic temperatures in dense quiescent molecular clouds. Equation (5) is derived from fitting Tkin in the range of 5–20 K, and so there is a caveat in using it for higher temperatures.
The gas kinetic temperatures derived from the NH3 (2,2)/(1,1) map for the six main W33 sources are shown in Fig. 8. The kinetic temperatures of the dense gas in W33 Main derived from the NH3 (2,2)/(1,1) ratios range from 9 to 49 K with an average of 21 ± 11 K (errors are standard deviations of the mean). We find that the kinetic temperatures in the dense gas around the central (0′′, 0′′) offset positions of our W33 Main mapped region are high (~38 K; see Fig. 8). This region contains a young stellar cluster associated with an H ii region. The gas kinetic temperatures from para-NH3 in the other five W33 regions are cooler, ranging from 13 to 39 K with an average of 18 ± 8 K in W33 A. Lower gas temperatures associate with W33 B ranging from 8 to 39 K with an average of 15 ± 7 K, while dense gas in the W33 B1 region shows kinetic temperatures ranging from 7 to 39 K with an average of 21 ± 12 K. Furthermore, with the three para- and one ortho-NH3 lines detected towards W33 Main1 and W33 A1, we use the NH3 (1,1) and (2,2) temperatures determined as Tkin = 13 K for both sources (see Table A.5).
![]() |
Fig. 8 Map of the kinetic temperature in Kelvin for the W33 regions, obtained from the para-NH3 (2,2)/(1,1) lines. The reference position is RA: 18:14:13.50, Dec: −17:55:47.0 (J2000). Theintegration range is 32 to 40 km s−1. Contours are the same as in the left panel of Fig. 6. The limits of the mapped region over significant parts of ourmap are indicated by gray dashed lines. The half-power beam width is illustrated as a gray filled circle in the lower left corner of the image. |
Total (para+ortho) ammonia column densities, total-NH3 (para+ortho) fractional abundances, and ortho-to-para abundance ratios at the peak positions of the W33 region.
3.6 Total NH3 column density and H2 volume density
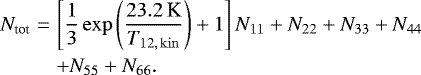
Using Eq. (2), we calculate NH3 column densities for the observed metastable and non-metastable inversion doublets (see Tables 3 and 4). We also determined the column density of the (J, K) = (0,0) ground state using the method described in Krieger et al. (2017), which is
(6)
where the energy difference between the NH3 (0,0) and NH3 (1,1) is 23.2 K, and Tkin, 12 is the gas kinetic temperature derived from the (1,1) and (2,2) doublets (see Sect. 3.5 and Table A.5). We obtained total column densities of ammonia by adding the column densities of all convincingly detected metastable NH3 lines and the (J, K) = (0,0) column density from the ortho-NH3 ground state, following Krieger et al. (2017):
(7)
The column densities of the (0,0) state are given in Tables 3 and 4 for W33 Main, W33 A, W33 B, W33 Main1, W33A1, and W33 B1, respectively. In addition, the column densities of para-NH3 and ortho-NH3, and total-NH3 (para+ortho) column densities for the six main W33 sources are calculated, and are listed in Table 6. The W33 complex shows a broad distribution of total-NH3 column densities. Among the six main sources, at the reference positions (Table 1) we obtain the lowest value for W33 Main, N(total-NH3) = 6.0 (±2.1) × 1014 cm−2 (for the detailed calculation of this value, see Sect. 4.5). The highest value is derived for W33 B, N(total-NH3) = 3.4 (±0.2) × 1015 cm−2 (see Table 6). As can be seen in the central panel of Fig. C.1, we provide a total column density map of NH3 for the six W33 sources. In addition, we determined the total NH3 mass in the area covered by the Effelsberg data. The total NH3 masses for each source are obtained by integrating the total-N(NH3) values over the covered regions. For the total NH3 masses, we find 13, 1.9, 3.4, 0.2, 0.2 and 1.3 × 10−4 M⊙ for W33 Main, W33 A, W33 B, W33 Main1, W33 A1, and W33 B1, respectively.
The volume density of H2 molecules was obtained from the (1,1) line using the method described in Eq. (2) of Ho & Townes (1983), which is:
(8)
where A is the Einstein coefficient for spontaneous emission (=1.71 × 10−7 s−1) and C is the collisional de-excitation rate (~8.5 × 10−11 cm−3 s−1) for the (1,1) line in Danby et al. (1988). Tbg = 2.73 K is the black body background radiation temperature, and Jν(T) is defined by
(9)
The relation between the gas kinetic temperature (here we rely exclusively on the (1,1) and (2,2) lines; see Sect. 3.5) and the excitation temperature can provide a reliable estimate of the gas volume density. However, the gas density calculated using Eq. (8) may be significantly underestimated if the beam is not filled uniformly, that is, if the sizes of our W33 sources are smaller than the beam size of 40′′. We use Eq. (8) to set a lower bound on the gas density, n(H2), adopting a beam filling factor of η = 1. We note that if Tex = Tkin, Eq. (8) is invalid and n(H2) has to be calculated in a different way (see, e.g., Hildebrand 1983; Pandian et al. 2012). However, this problem did not occur in our case (see Table A.5). In Table A.5, we also present the obtained volume densities of the six main sources.
4 Discussion
4.1 Comparison with previously obtained volume densities
We calculated the volume density of hydrogen molecules n(H2) using the column densities
from Table 5 of Immer et al. (2014), that is, n(H2) =
/ 2rsource. rsource is the size of the respective clumps taken from Table 5 of Immer et al. (2014). The volume densities of hydrogen molecules obtained from this method are 4.1 × 103, 3.2 × 103, 0.6 × 104, 0.6 × 104, 2.1 × 104, and 0.3 × 104 cm−3 for W33 Main, W33 A, W33 B, W33 Main1, W33 A1, and W33 B1, respectively. The volume densities of Immer et al. (2014) and our results, using the new Tkin values (see Table A.5 and Sect. 3.6), show that our volume densities are ~3.0, ~8.1, ~1.8, and ~3.0 times higher in W33 Main, W33 A, W33 B, and W33 Main1, respectively, ~1.9 times lower in W33 A1, and equal in W33 B1. The good agreement indicates that beam filling factors in both the Immer et al. (2014) and our data are similar and possibly close to unity. As spatial distributions of different species tend to differ, we consider thelatter as a viable possibility.
4.2 Variations of the NH3 abundance
Total-NH3 column densities N(NH3) are compared with the column densities of H2 derived from the Atacama Pathfinder Experiment (APEX) telescope using its 870 μm continuum data (Immer et al. 2014), where the H2 peak column densities (Table 5 of Immer et al. 2014) are the best choice with respect to our beam size of 40′′.
The fractional total-NH3 abundances (χ (total-NH3) = (total-N(NH3))/N(H2)) calculated for the peak positions of our six W33 sources are listed in Table 6. Therefore, the NH3 abundances relative to those of molecular hydrogen are calculated to be 1.3 (±0.1) × 10−9, 1.4 (±0.3) × 10−8, 1.6 (±0.3) × 10−8, 3.4 (±0.5) × 10−8, 1.6 (±0.5) × 10−8 and 4.0 (±1.2) × 10−8 for the peak positions of W33 Main, W33 A, W33 B, W33 Main1, W33 A1, and W33 B1, respectively. The errors shown in parentheses are obtained using error propagation. The fractional total-NH3 abundance map (χ (total-NH3) = (total-N (NH3))/N(H2)) is shown in the right panel of Fig. C.1. The NH3 abundances in the peak position of the six W33 sources are consistent with those in other Galactic sources. The fractional NH3 abundances are 2 × 10−8 in the cyanopolyyne peak of TMC-1 (Irvine et al. 1987), 2 × 10−7 in the Orion ridge (Irvine et al. 1987), and (1–10) × 10−8 (Irvine et al. 1987) and 8 × 10−8–10−4 (Huttemeister et al. 1993) in Sgr B2, the latter also including hot cores. In addition, averaged fractional ammonia abundance values of 1.2 ×10−7, 4.6 ×10−8, and 1.5 ×10−8 were obtained by Dunham et al. (2011), Wienen et al. (2012), and Merello et al. (2019) in clumps of the Bolocam Galactic Plane Survey (BGPS), theAPEX Telescope Large Area Survey of the GALaxy (ATLASGAL), and the Hi-GAL survey, respectively. Fractional abundances of ~2–3 ×10−8 were derived for protostellar and starless cores in the Perseus and Taurus-Auriga dark clouds as well as in infrared dark clouds (Tafalla et al. 2006; Foster et al. 2009; Chira et al. 2013).
The fractional NH3 abundance varies among star-forming regions (Benson & Myers 1983). In quiescent clouds, ammonia should have a fractional abundance of ~10−7...−9, while in the hot cores its abundance could be two or three orders of magnitude higher (Henkel et al. 2013). The difference in the total-NH3 abundances among the three W33 sources at the peak position is that W33 Main encounters the lowest value with 1.3 (±0.1) × 10−9, while the total-NH3 abundance of W33 B 1.6 (±0.3) × 10−8 is slightly higher than that of W33 A 1.4 (±0.3) × 10−8. As mentioned above, the obtained total NH3 abundances at the peak positions are 3.4 (±0.5) × 10−8, 1.6 (±0.5) × 10−8, and 4.0 (±1.2) × 10−8 for W33 Main1, W33 A1, and W33 B1 respectively. According to Immer et al. (2014), W33 Main is more evolved, also hosting an H ii region, W33 A and W33 B can be considered as hot cores, W33 B is rich in nitrogen (Immer et al. 2014). From our fractional total NH3 abundances calculation, we can confirm the different evolutionary stages proposed by Immer et al. (2014) and find that there is no hot core in the region approaching the extreme conditions encountered in W51-IRS2 or Sgr B2. The top left and top right panels of Fig. C.2 indicate the total-N(NH3) and total fractional NH3 abundance versus the evolutionary sequence of the six W33 sources. The lower total-NH3 fractional abundance in W33 Main compared to that of the other five main W33 sources is likely due to the fact that W33 Main is strongly affected by FUV photons originating from its H ii region. Ammonia is a particularly sensitive molecular species with respect to FUV radiation (e.g., Weiß et al. 2001).
4.3 Ortho-to-para NH3 ratio
In massive star forming dense cores, outflow-induced shock waves and rising levels of stellar radiation can liberate NH3 molecules confined to dust grains (e.g., Nejad et al. 1990; Flower et al. 1995) and increase the NH3 abundance. Ortho-to-para abundance ratios of NH3 can tell us about the contribution of liberated NH3 molecules with respect to those formed in the gas phase (Umemoto et al. 1999).
The ortho-to-para ratio depends on its origin either in the gas or in the dust phase. As Umemoto et al. (1999) described, if NH3 is formed by gas phase reactions, the ortho-to-para ratios will be close to unity. On the other hand, a formation that occurred on dust grains released to the interstellar medium could raise the ortho-to-para ratio above unity. In the latter case, the ortho-to-para ratio also depends on the NH3 formation temperature. Here, the ortho-to-para ratio is inversely proportional to the kinetic temperature of the gas at the time of the formation of the NH3 molecules. The ratio is about three at the formation temperature of 10 K (Takano et al. 2002). The ortho-to-para ratios in our case ((N00+N33+N66) /(N11+N22+N44+N55)), calculated for the peak positions of our six main W33 sources, are listed in Table 6. With the four para- and two ortho-NH3 lines observed, we estimate the ortho-to-para abundance ratios to be 0.5 (±0.1), 1.3 (±0.1), and 1.3 (±0.1) for W33 Main, W33 A, and W33 B, respectively (see Table 6). The very low value toward W33Main is likely caused by the inclusion of the (3,3) maser line, which may introduce systematic errors that are difficult to quantify (see Sect. 4.5). In addition, with three para-NH3 transitions and one ortho-NH3 line detected in W33 Main1 and W33 A1, we can determine the ortho-to-para abundance ratios to be 1.8 (±0.1) and 1.9 (±0.1), respectively (see Table 6). For W33 B1, the detected two para-NH3 transitions and one ortho-NH3 line provide an ortho-to-para abundance ratio of 1.9 (±0.1). The errors in parentheses are calculated using error propagation.
As we discussed in Sects. 3.4 and 3.5, the NH3 (1,1) line is optically thick in all the W33 sources. The effect of an optically thick NH3 (1,1) line on the ortho-to-para ratio is estimated using equation (N00+N33+N66) /(N11+N22+N44+N55) in this section. Plotting the ortho-to-para ratios against the evolutionary stage (Fig. C.2 bottom left panel) of our six targets, we may see a trend of decreasing ortho-to-para ratios with evolutionary stage. Takano et al. (2002) suggests that an ortho-to-para ratio of ~1.5 corresponds to a cool formation temperature of ~20 K. According to this, from the ortho-to-para abundance ratios of 0.5 (±0.1), 1.3 (±0.1), 1.3 (±0.1), 1.8 (±0.1), 1.9 (±0.1), and 1.9 (±0.1), we believe that ammonia has either been formed in the gas-phase or has been formed on dust grains in a medium with ~20 K or more to then be released into the interstellar medium.
4.4 A comparison of kinetic temperatures with previously obtained data
Immer et al. (2014) presented rotation diagrams of H2CO, CH3OH, and CH3CCH for W33 Main, of H2CO for W33 A, of H2CO, HNCO, CH3CN, and CH3OH for W33 B, and of H2CO for W33 Main1, W33 A1, and W33 B1, and obtained a different rotational temperature for each of the six W33 sources (see Table 6, Figs. 10 and 12 of Immer et al. 2014). We compared the NH3 temperatures with those derived from the rotation diagrams of Immer et al. (2014), and find that these are quite similar (Table 6 of Immer et al. 2014 and our Table 5). However, the Trot values of the Immer et al. (2014) study are affected by both kinetic temperature and density, while NH3 allows for a determination of the kinetic temperature alone. This means that there is a degeneracy in the Immer et al. (2014) data, which is one of the main motivations for this study.
Nevertheless, our Tkin estimates from NH3 are not uniform. The Boltzmann diagrams in Fig. 7 clearly show rising rotation temperatures with increasing excitation above the ground states. Similar results from Galactic sources (e.g., Wilson et al. 1993, 2006) were interpreted in terms of the presence of gradients in Tkin, which may indicate the existence of dense post-shock gas that is gradually cooling with increasing distance from the shock front (Henkel et al. 2008). However, in a warm environment radiative transfer calculations show that higher metastable states favor higher rotation temperatures that gradually approach the kinetic temperature even if the Tkin of the gas has only a single value (Walmsley & Ungerechts 1983; Danby et al. 1988; Flower et al. 1995; Henkel et al. 2008).
From Tables 3 and 4, it is clear that most of the NH3 column densities reside in the (1,1) and (2,2) states. In addition to widespread emission from these inversion doublets, the relatively high column densities are the second main motivation for choosing the (1,1) and (2,2) transitions for our kinetic temperature estimates. Nevertheless, the presence of higher-J metastable ammonia transitions indicates that higher excited gas is also present (see Fig. 7). Our detection of the nonmetatable (2,1) and (3,2) lines inW33 Main, W33 A, and W33 B (Fig. 3) may indicate the existence of gas components with high volume densities (>105 cm−3) and/or intense infrared radiation fields (e.g. Mauersberger et al. 1985). Again considering W33 Main, W33 A, and W33 B, it is clear from Fig. 7 and Sect. 3.4 that the rotation temperatures of para-NH3 are highest in W33 Main and lowest in W33 B. Thus, we find a hierarchy of kinetic temperatures with W33 Main containing the warmest and W33 B the coolest gas, while conditions in W33 A are intermediate. These kinetic temperatures are compatible with the stages of evolution outlined by Immer et al. (2014) and are also indicative of significant temperature gradients within the dense gas of W33 B. We find clear trends as a function of evolutionary stage in the gas kinetic temperatures (Fig. C.2 bottom right panel). From our ammonia Tkin determinations, we thus conclude that large temperature gradients may be present in these three W33 clumps.
4.5 Maser emission in the NH3 (3,3) line
Molecular masers associated with ongoing massive star formation have been detected in a large number of studies (OH: e.g., Ho et al. 1983; H2O: e.g. Hofner & Churchwell 1996; CH3OH: e.g., Walsh et al. 1998; and NH3 (3,3): e.g., Henkel et al. 2013). Compared to other masers, NH3 (3,3) masers are rare and most of the known NH3 maser lines are from nonmetastable (J >K) inversion transitions (Henkel et al. 2013). Wilson et al. (1982) first detected (3,3) maser emission in the massive star forming region of W33. To date, NH3 (3,3) maser emission has been detected in more than a dozen star forming clouds (e.g., NGC 7538-IRS1, DR21(OH), NGC 6334 V, NGC 6334 I, W51, IRAS 20126+4104, G5.89-0.39, G20.08-0.14N, G23.33 - 0.30, G30.7206-00.0826, G35.03+0.35, G28.34+0.06, W51C, W44, G5.7-0.0, G1.4-0.1; Mauersberger et al. 1986b; Mangum & Wootten 1994; Kraemer & Jackson 1995; Zhang & Ho 1995; Zhang et al. 1999; Hunter et al. 2008; Galván-Madrid et al. 2009; Walsh et al. 2011; Urquhart et al. 2011; Brogan et al. 2011; Wang et al. 2012; McEwen et al. 2016). The NH3 (3,3) maser emission can occur at densities of between 103.5 ≲n(H2) ≲ 107.3 cm−3, kinetic temperatures larger than about 20 K, and column densities less than N(ortho-NH3) ≲ 1016.8 cm−2 (Kraemer & Jackson 1995). Zhang et al. (1999) propose that NH3 (3,3) masers are excited in shocked regions of molecular outflows.
In Figs. 2 (left panel) and A.3, we can see that the absolute main beam brightness temperature of the NH3 (3,3) emission line is about twice as high as those of the (1,1) and (2,2) absorption lines and peaks at 36 km s−1. This indicates that this line is a weak NH3 maser as described in Wilson et al. (1982). Because of a radial velocity of 36 km s−1, which is compatible with the velocities derived from other NH3 transitions seen in absorption against the continuum, and the low opacities of all our NH3 absorption lines with the exception of the (J, K) = (1,1) transition (Table 3), and in view of the moderate strength of the (3,3) emission, it is plausible that the (3,3) emission is based on inverted populations amplifying the background continuum. From our Effelsberg data, we obtain a continuum flux density of 18.7 ± 0.2 Jy or 26.2 ± 0.3 K on a main beam brightness temperature scale. The corresponding main beam brightness temperature of the (3,3) line is 3.7 ± 0.1 K, meaning that the line-to-continuum ratio becomes 0.141 ± 0.002 (relative calibration uncertainties are not included in this error budget). This may indicate that the maser line is unsaturated and optically thin; in this case, with negative Tex and negative τ, the product Tex ×τ almost matches the value that would result from quasi-thermal emission (see e.g., Mauersberger et al. 1986b and Schilke et al. 1991). Under these circumstances, we can also derive physical parameters, including the (3,3) line, and obtain a NH3 (3,3) column density of 2.0 (±0.1) × 1014 cm−2 (see Table 4). However, this value strongly depends on the correctness of our approach. If for example the maser only amplifies a part of the background continuum, its absolute opacity will be higher than estimated, leading to a higher ortho-NH3 column density and ortho-to-para ratio than derived in Sect. 4.3.
In general, an important feature of maser lines is their variability. Such variability has also been seen in nonmetastable (J > K) ammonia maser lines (e.g., Henkel et al. 2013). We therefore searched for variability of the maser line within the few days of observations of our own data (see Sect. 3.1 and Appendix B). From Fig. B.2, we can clearly see that the mean beam brightness temperatures of this NH3 (3,3) line indicate no significant variation during our observations. Furthermore, we make the comparison between our data and previous studies (e.g., with respect to the NH3 (3,3) maser reported by Wilson et al. 1982, also obtained with the Effelsberg 100 m telescope). We use the “GAUSS” fit to obtain an NH3 (3,3) line main beam brightness temperature of TMB = 3.7(0.1) K and radial velocity of VLSR = 36.2(0.1) km s−1 (the errors shown in parentheses are fitting uncertainties) at the (0′′, 0′′) offset position. Wilson et al. (1982) obtain TMB = 3.7 K and VLSR = 35.4 km s−1. While we cannot explain the difference in velocity, we can nevertheless conclude that in view of the peak intensity and line shape, no significant variations have occurred during the past ~36 yr. This is consistent with the fact that the 15NH3 (3,3) maser of Mauersberger et al. (1986b) and Schilke et al. (1991) did not show variability over a timescale of several years. The lack of variability for this type of maser suggests that the region with inverted populations giving rise to (3,3) maser emission may be larger than those of most other maser transitions, of ammonia as well as other molecular species.
5 Summary
Using the 100-m telescope at Effelsberg, we searched for NH3 absorption and emission lines in the prominent massive star forming regions of the W33 complex. Our ammonia observations of the W33 region reveal the following main results:
- 1.
We detected the NH3 (1,1), (2,2), (3,3), (4,4), (5,5), and (6,6) metastable lines in W33 Main, W33 A, and W33 B. The nonmetastable NH3 (2,1) and (3,2) transitions were also measured towards these three molecular hotspots in the W33 region. A maser line was previously observed in the NH3 (3,3) transition towards W33 Main. The NH3 (1,1), (2,2), (4,4), (5,5), and (6,6) inversion lines are detected in absorption against the radio continuum in W33 Main, while all other mapped regions provide ammonia emission lines. We detect the NH3 (1,1), (2,2), (3,3) and (4,4) metastable inversion lines, all in emission, in W33 Main1 and W33 A1. Towards W33 B1 we detect only the NH3 (1,1), (2,2) and(3,3) emission lines. The nonmetastable NH3 (2,1) and (3,2) transitions were not detected in these regions;
- 2.
For the total-NH3 column density, we find 6.0 (±2.1) × 1014, 3.5 (±0.1) × 1015, 3.4 (±0.2) × 1015, 3.1 (±0.2) × 1015, 2.8 (±0.2) × 1015 and 2.0 (±0.2) × 1015 cm−2 at the peak positions of W33 Main, W33 A, W33 B, W33 Main1, W33 A1, and W33 B1, respectively;
- 3.
We determine kinetic temperatures only using NH3 (1,1) and (2,2), and from this we provide estimates of gas volume densities for the six main sources in the W33 region. Using our new Tkin values, we show that our volume densities are similar to those estimated by Immer et al. (2014), suggesting that ammonia beam filling factors are close to unity;
- 4.
W33 Main has total-NH3 fractional abundances (χ (total-NH3) = (total-N(NH3))/N(H2)) of 1.3 (±0.1) × 10−9 at the peak position. High values of 1.4 (±0.3) × 10−8, 1.6 (±0.3) × 10−8, 3.4 (±0.5) × 10−8, 1.6 (±0.5) × 10−8 and 4.0 (±1.2) × 10−8 characterize the central positions of W33 A, W33 B, W33 Main1, W33 A1, and W33 B1, respectively. From this we confirm the difference evolutionary stages proposed by Immer et al. (2014) and find that there is no hot core in the region approaching the extreme conditions encountered in W51-IRS2 or Sgr B2;
- 5.
Ortho-to-para-NH3 abundance ratios are 0.5 (±0.1), 1.3 (±0.1), 1.3 (±0.1), 1.8 (±0.1), 1.9 (±0.1), and 1.9 (±0.1) for W33 Main, W33 A, W33 B, W33 Main1, W33 A1, and W33 B1, respectively. The low value for W33 Main may be affected by unknwon systematic errors. The other values indicate that ammonia has either been formed in the gas-phase or has been formed on dust grains in a medium with ~ 20 K or more to then be released into the interstellar medium;
- 6.
From our ammonia Tkin determinations, we suggest that large temperature gradients may be present in the dense molecular gas of W33 Main, W33 A, and W33 B. Kinetic temperatures towards our six W33 targets are compatible with the different stages of evolution outlined by Immer et al. (2014);
- 7.
The maser emission in the NH3 (3,3) line towards W33 Main shows no significant variability during the course of our observations. More importantly, brightness temperature and line shape of this line also indicate no significant change during the last ~36 yr.
Acknowledgements
We like to thank the anonymous referee for the useful suggestions that improved this study. This work is based on observations made with the 100 m Effelsberg telescope, which is operated by the Max-Planck-Institut für Radioastronomie. We thank the staff of the Effelsberg 100-m radio telescope for their assistance during the observations. This work was funded by the National Natural Science foundation of China under grant 11 433 008, 11 903 070, 11 973 076, and 12 173 075, the Heaven Lake Hundred-Talent Program of Xinjiang Uygur Autonomous Region of China, and the CAS “Light of West China” Program under Grant 2018-XBQNXZ-B-024 and 2020-XBQNXZ-017. C.H. acknowledges support by a Chinese Academy of Sciences President’s International Fellowship Initiative for visiting scientists (2021VMA0009 and 2022VMA0018). This research has used NASA’s Astrophysical Data System (ADS).
Appendix A Ammonia spectra toward W33 and derived physical parameters
Observed parameters of the NH3 (1,1) lines detected in the W33.
Observed parameters of the NH3 (2,2) lines detected in W33.
![]() |
Fig. A.1 NH3 (1,1) line profiles of inversion transitions of W33 Main and W33 Main1. These are shown on (Δα, Δδ) axes. The zero point is at the position of W33 Main, R.A. : 18:14:13.50, DEC. : -17:55:47.0 (J2000). The X and Y axes indicate Right Ascension Offset (arcsec) and Declination Offset (arcsec), respectively. The main beam temperature scale for the NH3 lines was obtained from continuum cross scans of 3C 286 (see Sect. 2). All radial velocities are on a VLSR scale. At the assumed distance to the complex, ~2.4 kpc, 40′′ is equivalent to 0.5 pc. The individual spectra cover a velocity range of 32 to 38 km s−1 and the ordinate provides main beam brightness temperatures in the range – 2.3 to 4.4 K. |
![]() |
Fig. A.2 NH3 (2,2) line profiles of inversion transitions of W33 Main and W33 Main1. The individual spectra cover a velocity range of 32 to 38 km s−1 and the ordinate provides main beam brightness temperatures in the range – 1.9 to 3.7 K. |
![]() |
Fig. A.3 NH3 (3,3) line profiles of inversion transitions of W33 Main and W33 Main1. The individual spectra cover a velocity range of 32 to 38 km s−1 and the ordinate provides main beam brightness temperatures in the range 0.5 to 4.5 K. |
![]() |
Fig. A.4 NH3 (4,4) line profiles of inversion transitions of W33 Main and W33 Main1. The individual spectra cover a velocity range of 32 to 38 km s−1 and the ordinate provides main beam brightness temperatures in the range – 0.6 to 0.7 K. |
![]() |
Fig. A.5 NH3 (5,5) line profiles of inversion transitions of W33 Main and W33 Main1. The individual spectra cover a velocity range of 32 to 38 km s−1 and the ordinate provides main beam brightness temperatures in the range – 0.2 to 0.5 K. |
![]() |
Fig. A.6 NH3 (6,6) line profiles of inversion transitions of W33 Main and W33 Main1. The individual spectra cover a velocity range of 32 to 38 km s−1 and the ordinate provides main beam brightness temperatures in the range – 0.2 to 0.4 K. |
![]() |
Fig. A.7 Line profiles of inversion transitions of ammonia from W33 A. These are shown on (Δα, Δδ) axes. The zero point is at the position of W33 A, R.A. : 18:14:39.10, DEC. : -17:52:03.0 (J2000). The X and Y axes indicate Right Ascension Offset (arcsec) and Declination Offset (arcsec), respectively. The main beam temperature scale for the NH3 lines was obtained from continuum cross scans of 3C 286 (see Sect. 2). All radial velocities are on a VLSR scale. At the assumed distance to the complex, ~2.4 kpc, 40′′ is equivalent to 0.5 pc. The individual spectra cover a velocity range of 32 to 38 km s−1 and the ordinate provides main beam brightness temperatures in the range – 0.1 to 5.2 K (left panel), – 0.1 to 0.5 K (middle panel), and – 0.1 to 0.5 K (right panel). |
![]() |
Fig. A.8 Line profiles of inversion transitions of ammonia from W33 B. These are shown on (Δα, Δδ) axes. The zero point is at the position of W33 B, R.A. : 18:13:54.40, DEC. : -18:01:52.0 (J2000). The X and Y axes indicate Right Ascension Offset (arcsec) and Declination Offset (arcsec), respectively. The main beam temperature scale for the NH3 lines was obtained from continuum cross scans of 3C 286 (see Sect. 2). All radial velocities are on a VLSR scale. At the assumed distance to the complex, ~2.4 kpc, 40′′ is equivalent to 0.5 pc. The individual spectra cover a velocity range of 54 to 62 km s−1 and the ordinate provides main beam brightness temperatures in the range – 0.1 to 3.1 K (left panel), – 0.1 to 0.3 K (middle panel), and – 0.1 to 0.3 K (right panel). |
![]() |
Fig. A.9 Line profiles of inversion transitions of ammonia from W33 B1. These are shown on (Δα, Δδ) axes. The zero point is at the position of W33 B1, R.A. : 18:14:07.10, DEC. : -18:00:45.0 (J2000). The X and Y axes indicate Right Ascension Offset (arcsec) and Declination Offset (arcsec), respectively. The main beam temperature scale for the NH3 lines was obtained from continuum cross scans of 3C 286 (see Sect. 2). All radial velocities are on a VLSR scale. At the assumed distance to the complex, ~2.4 kpc, 40′′ is equivalent to 0.5 pc. The individual spectra cover a velocity range of 32 to 38 km s−1 and the ordinate provides main beam brightness temperatures in the range – 0.1 to 1.3 K (left panel), – 0.1 to 0.3 K (middle panel), and – 0.1 to 0.3 K (right panel). |
Observed parameters of the NH3 (3,3) lines detected in W33.
Observed parameters of the NH3 (4,4) lines detected in W33.
Calculated model parameter of NH3 (1,1) and NH3 (2,2) lines detected in W33.
Appendix B Calibration stability and NH3 (3,3) line variations towards the peak position of W33 Main
The W33 Main peak position was observed many times to check the stability of the system. The reference position is R.A.: 18:14:13.50, DEC.: -17:55:47.0. To present the peak distribution against elevation (Fig. B.1), we fitted the NH3 (1,1) main lines (the central group of NH3 (1,1) hyperfine components). From Fig. B.1, we clearly see that there is no significant systematic variation. The standard deviations of the mean of the peak intensities is about 4.2%, thus the observational system of the Effelsberg telescope is stable.
![]() |
Fig. B.1 Uncorrected NH3 (1,1) main line peak intensities against elevation of repeated observations toward the reference position (see Table 1) of the W33 Main central position. The standard deviations of the mean of the flux is about 4.2%. |
We also studied the variation of the NH3 (3,3) line, because it is the strongest one, and as a maser, also possibly variable on short time scales (see Fig. 2 left panel and Sect. 3.1). Therefore, we present the NH3 (3,3) main line peak intensities against elevation (Fig. B.2 top panel) and NH3 (3,3) main line peak intensities against the epoch of the observation (Fig. B.2 bottom panel) toward the W33 Main peak position. The gray dotted line in Fig. B.2., bottom panel, connects the average Tmb (3,3) values of each day. From the top panel of Fig. B.2, we obtain that the standard deviations of the mean of the peak intensities is about 4.4%, which can be even more clearly seen in Fig. B.2., bottom panel. Again the main beam brightness temperature variations of this NH3 (3,3) line are not large enough to indicate significant variations during the week covered by our Effelsberg observations.
![]() |
Fig. B.2 Top panel: NH3 (3,3) main line peak intensities against elevation of repeated observations toward the reference position of W33 Main (see Table 1). The standard deviations of the mean of the flux density is about 4.4%. Bottom panel: NH3 (3,3) main line peak intensities against the epoch of the observation, also toward the W33 Main peak position. The gray dotted line connects the average Tmb (3,3) values of each day. |
Appendix C Results of the NH3 line observations
![]() |
Fig. C.1 Maps of NH3 rotational temperature in units of Kelvin (left), the logarithm of the total-NH3 column density in units of cm−2 (middle), and the corresponding logarithm of the fractional abundance (right). The reference position is R.A. : 18:14:13.50, DEC. : -17:55:47.0 (J2000). The integration range is 32 to 40 km s−1. Contours are the same as in the left panel of Fig. 6. The limits of the mapped region over significant parts of our map are indicated by gray dashed lines. The half-power beam width is illustrated as a gray filled circle in the lower left corner of each image. |
![]() |
Fig. C.2 Column densities derived from total-N(NH3) vs. the evolutionary sequence of the six W33 source (top left), total fractional NH3 abundance, N(total-NH3)/N(H2), vs. the evolutionary sequence (top right), ortho-to-para ratio of NH3 vs. the evolutionary sequence (bottom left), and gas temperature derived from NH3 vs. the evolutionary sequence (bottom right). For the chosen positions, see Table 1. We note that the ortho-to-para ratio of W33 Main may be affected by systematic errors which cannot be quantified (see Sect. 4.5). |
References
- Barranco, J. A., & Goodman, A. A. 1998, ApJ, 504, 207 [Google Scholar]
- Benson, P. J., & Myers, P. C. 1983, ApJ, 270, 589 [CrossRef] [Google Scholar]
- Brogan, C. L., Hunter, T. R., Cyganowski, C. J., et al. 2011, ApJ, 739, L16 [NASA ADS] [CrossRef] [Google Scholar]
- Brown, P. D., Charnley, S. B., & Millar, T. J. 1988, MNRAS, 231, 409 [Google Scholar]
- Capps, R. W., Gillett, F. C., & Knacke, R. F. 1978, ApJ, 226, 863 [NASA ADS] [CrossRef] [Google Scholar]
- Carruthers, G. R. 1969, ApJ, 157, L113 [NASA ADS] [CrossRef] [Google Scholar]
- Caswell, J. L. 1998, MNRAS, 297, 215 [NASA ADS] [CrossRef] [Google Scholar]
- Cesaroni, R., Walmsley, C. M., & Churchwell, E. 1992, A&A, 256, 618 [NASA ADS] [Google Scholar]
- Chira, R.-A., Beuther, H., Linz, H., et al. 2013, A&A, 552, A40 [NASA ADS] [CrossRef] [EDP Sciences] [Google Scholar]
- Danby, G., Flower, D. R., Valiron, P., et al. 1988, MNRAS, 235, 229 [NASA ADS] [CrossRef] [Google Scholar]
- de Wit, W. J., Hoare, M. G., Oudmaijer, R. D., & Lumsden, S. L. 2010, A&A, 515, A45 [NASA ADS] [CrossRef] [EDP Sciences] [Google Scholar]
- Dunham, M. K., Rosolowsky, E., Evans, N. J., II, et al. 2011, ApJ, 741, 110 [NASA ADS] [CrossRef] [Google Scholar]
- Dyck, H. M., & Simon, T. 1977, ApJ, 211, 421 [NASA ADS] [CrossRef] [Google Scholar]
- Flower, D. R., Pineau des Forets, G., & Walmsley, C. M. 1995, A&A, 294, 815 [NASA ADS] [Google Scholar]
- Foster, J. B., Rosolowsky, E. W., Kauffmann, J., et al. 2009, ApJ, 696, 298 [Google Scholar]
- Galván-Madrid, R., Keto, E., Zhang, Q., et al. 2009, ApJ, 706, 1036 [CrossRef] [Google Scholar]
- Galván-Madrid, R., Zhang, Q., Keto, E., et al. 2010, ApJ, 725, 17 [Google Scholar]
- Goddi, C., Greenhill, L. J., Humphreys, E. M. L., Chandler, C. J., & Matthews, L. D. 2011, ApJ, 739, L13 [CrossRef] [Google Scholar]
- Goldsmith, P. F., & Mao, X.-J. 1983, ApJ, 265, 791 [NASA ADS] [CrossRef] [Google Scholar]
- Genzel, R., & Downes, D. 1977, A&AS, 30, 145 [NASA ADS] [Google Scholar]
- Guilloteau, S., Wilson, T. L., Martin, R. N., et al. 1983, A&A, 124, 322 [NASA ADS] [Google Scholar]
- Haschick, A. D., Menten, K. M., & Baan, W. A. 1990, ApJ, 354, 556 [NASA ADS] [CrossRef] [Google Scholar]
- Henkel, C., Wilson, T. L., & Mauersberger, R. 1987, A&A, 182, 137 [NASA ADS] [Google Scholar]
- Henkel, C., Mauersberger, R., Peck, A. B., et al. 2000, A&A, 361, L45 [NASA ADS] [Google Scholar]
- Henkel, C., Braatz, J. A., Menten, K. M., et al. 2008, A&A, 485, 451 [NASA ADS] [CrossRef] [EDP Sciences] [Google Scholar]
- Henkel, C., Wilson, T. L., Asiri, H., & Mauersberger, R. 2013, A&A, 549, A90 [NASA ADS] [CrossRef] [EDP Sciences] [Google Scholar]
- Hermsen, W., Wilson, T. L., Walmsley, C. M., & Henkel, C. 1988, A&A, 201, 285 [NASA ADS] [Google Scholar]
- Hildebrand, R. H. 1983, QJRAS, 24, 267 [NASA ADS] [Google Scholar]
- Hunter, T. R., Brogan, C. L., Indebetouw, R., et al. 2008, ApJ, 680, 1271 [NASA ADS] [CrossRef] [Google Scholar]
- Ho, P. T. P., & Townes, C. H. 1983, ARA&A, 21, 239 [NASA ADS] [CrossRef] [Google Scholar]
- Ho, P. T. P., Haschick, A. D., Vogel, S. N., et al. 1983, ApJ, 265, 295 [NASA ADS] [CrossRef] [Google Scholar]
- Hoare, M. G., Purcell, C. R., Churchwell, E. B., et al. 2012, PASP, 124, 939 [Google Scholar]
- Hofner, P., & Churchwell, E. 1996, A&AS, 120, 283 [NASA ADS] [CrossRef] [EDP Sciences] [Google Scholar]
- Huttemeister, S., Wilson, T. L., Henkel, C., & Mauersberger, R. 1993, A&A, 276, 445 [NASA ADS] [Google Scholar]
- Huettemeister, S., Wilson, T. L., Mauersberger, R., et al. 1995, A&A, 294, 667 [NASA ADS] [Google Scholar]
- Immer, K., Reid, M. J., Menten, K. M., Brunthaler, A., & Dame, T. M. 2013, A&A, 553, A117 [NASA ADS] [CrossRef] [EDP Sciences] [Google Scholar]
- Immer, K., Galván-Madrid, R., König, C., Liu, H. B., & Menten, K. M. 2014, A&A, 572, A63 [NASA ADS] [CrossRef] [EDP Sciences] [Google Scholar]
- Irvine, W. M., Goldsmith, P. F., & Hjalmarson, A. 1987, Interstellar Processes, 561 [Google Scholar]
- Jaffe, D. T., Guesten, R., & Downes, D. 1981, ApJ, 250, 621 [NASA ADS] [CrossRef] [Google Scholar]
- Keto, E. R., & Ho, P. T. P. 1989, ApJ, 347, 349 [CrossRef] [Google Scholar]
- Kraemer, K. E., & Jackson, J. M. 1995, ApJ, 439, L9 [NASA ADS] [CrossRef] [Google Scholar]
- Krieger, N., Ott, J., Beuther, H., et al. 2017, ApJ, 850, 77 [NASA ADS] [CrossRef] [Google Scholar]
- Mangum, J. G., & Wootten, A. 1994, ApJ, 428, L33 [NASA ADS] [CrossRef] [Google Scholar]
- Mauersberger, R., Wilson, T. L., Batla, W., et al. 1985, A&A, 146, 168 [Google Scholar]
- Mauersberger, R., Henkel, C., Wilson, T. L., & Walmsley, C. M. 1986a, A&A, 162, 199 [Google Scholar]
- Mauersberger, R., Wilson, T. L., & Henkel, C. 1986b, A&A, 160, L13 [NASA ADS] [Google Scholar]
- Mauersberger, R., Wilson, T. L., & Henkel, C. 1988, A&A, 201, 123 [NASA ADS] [Google Scholar]
- McEwen, B. C., Pihlström, Y. M., & Sjouwerman, L. O. 2016, ApJ, 826, 189 [NASA ADS] [CrossRef] [Google Scholar]
- Menten, K. M., Walmsley, C. M., Henkel, C., et al. 1986, A&A, 157, 318 [Google Scholar]
- Merello, M., Molinari, S., Rygl, K. L. J., et al. 2019, MNRAS, 483, 5355 [NASA ADS] [CrossRef] [Google Scholar]
- Messineo, M., Davies, B., Figer, D. F., et al. 2011, ApJ, 733, 41 [NASA ADS] [CrossRef] [Google Scholar]
- Messineo, M., Clark, J. S., Figer, D. F., et al. 2015, ApJ, 805, 110 [Google Scholar]
- Morris, M., Zuckerman, B., Palmer, P., et al. 1973, ApJ, 186, 501 [NASA ADS] [CrossRef] [Google Scholar]
- Nejad, L. A. M., Williams, D. A., & Charnley, S. B. 1990, MNRAS, 246, 183 [NASA ADS] [Google Scholar]
- Ott, M., Witzel, A., Quirrenbach, A., et al. 1994, A&A, 284, 331 [NASA ADS] [Google Scholar]
- Pandian, J. D., Wyrowski, F., & Menten, K. M. 2012, ApJ, 753, 50 [NASA ADS] [CrossRef] [Google Scholar]
- Purcell, C. R., Longmore, S. N., Walsh, A. J., et al. 2012, MNRAS, 426, 1972 [NASA ADS] [CrossRef] [Google Scholar]
- Schilke, P., Walmsley, C. M., & Mauersberger, R. 1991, A&A, 247, 516 [NASA ADS] [Google Scholar]
- Stier, M. T., Jaffe, D. T., Rengarajan, T. N., et al. 1984, ApJ, 283, 573 [NASA ADS] [CrossRef] [Google Scholar]
- Tafalla, M., Myers, P. C., Caselli, P., & Walmsley, C. M. 2004, A&A, 416, 191 [NASA ADS] [CrossRef] [EDP Sciences] [Google Scholar]
- Tafalla, M., Santiago-García, J., Myers, P. C., et al. 2006, A&A, 455, 577 [NASA ADS] [CrossRef] [EDP Sciences] [Google Scholar]
- Takano, S., Nakai, N., & Kawaguchi, K. 2002, PASJ, 54, 195 [NASA ADS] [CrossRef] [Google Scholar]
- Tursun, K., Esimbek, J., Henkel, C., et al. 2020, A&A, 643, A178 [NASA ADS] [CrossRef] [EDP Sciences] [Google Scholar]
- Umemoto, T., Mikami, H., Yamamoto, S., et al. 1999, ApJ, 525, L105 [NASA ADS] [CrossRef] [Google Scholar]
- Urquhart, J. S., Morgan, L. K., Figura, C. C., et al. 2011, MNRAS, 418, 1689 [NASA ADS] [CrossRef] [Google Scholar]
- Walmsley, C. M., & Ungerechts, H. 1983, A&A, 122, 164 [Google Scholar]
- Walmsley, C. M., Hermsen, W., Henkel, C., Mauersberger, R., & Wilson, T. L. 1987, A&A, 172, 311 [NASA ADS] [Google Scholar]
- Walsh, A. J., Burton, M. G., Hyland, A. R., et al. 1998, MNRAS, 301, 640 [NASA ADS] [CrossRef] [Google Scholar]
- Walsh, A. J., Breen, S. L., Britton, T., et al. 2011, MNRAS, 416, 1764 [Google Scholar]
- Wang, K., Zhang, Q., Wu, Y., et al. 2012, ApJ, 745, L30 [NASA ADS] [CrossRef] [Google Scholar]
- Weiß, A., Neininger, N., Henkel, C., Stutzki, J., Klein, U. 2001, ApJ, 554, L143 [CrossRef] [Google Scholar]
- Wienen, M., Wyrowski, F., Schuller, F., et al. 2012, A&A, 544, A146 [NASA ADS] [CrossRef] [EDP Sciences] [Google Scholar]
- Wilson, T. L., Batrla, W., & Pauls, T. A. 1982, A&A, 110, L20 [NASA ADS] [Google Scholar]
- Wilson, T. L., Henkel, C., Huttemeister, S., et al. 1993, A&A, 276, L29 [NASA ADS] [Google Scholar]
- Wilson, T. L., Henkel, C., & Hüttemeister, S. 2006, A&A, 460, 533 [NASA ADS] [CrossRef] [EDP Sciences] [Google Scholar]
- Wynn-Williams, C. G., Werner, M. W., & Wilson, W. J. 1974, ApJ, 187, 41 [CrossRef] [Google Scholar]
- Zhang, Q., & Ho, P. T. P. 1995, ApJ, 450, L63 [NASA ADS] [CrossRef] [Google Scholar]
- Zhang, Q., & Ho, P. T. P. 1997, ApJ, 488, 241 [NASA ADS] [CrossRef] [Google Scholar]
- Zhang, Q., Hunter, T. R., Sridharan, T. K., et al. 1999, ApJ, 527, L117 [CrossRef] [Google Scholar]
The 100-m telescope at Effelsberg is operated by the Max-Plank-Institut für Radioastronomie (MPIFR) on behalf of the Max-Plank-Gesellschaft (MPG).
All Tables
Total (para+ortho) ammonia column densities, total-NH3 (para+ortho) fractional abundances, and ortho-to-para abundance ratios at the peak positions of the W33 region.
All Figures
![]() |
Fig. 1 Color image of the high-mass star forming complex W33 and its surroundings (blue for 70 μm, red for 160 μm, all derived from Herschel data). The six boxes indicate the regions observed by us in NH3. |
| In the text | |
![]() |
Fig. 2 NH3 spectra of metastable lines at offset (0′′, 0′′) with respect to the reference positions given in Table 1 for W33 Main (left panel) and W33 A (right panel). The channel widths are 0.48, 0.48, 0.48, 0.47, 0.47, 0.46, and 0.44 km s−1 for the NH3 (1,1) to (7,7) lines, respectively. The velocity scale is LSR, both here and elsewhere. |
| In the text | |
![]() |
Fig. 3 NH3 spectra of metastable lines at offset (0′′, 0′′) with respectto the reference positions given in Table 1 for W33 B (left panel). Nonmetastable lines from W33 Main, W33 A, and W33 B are shown in the right panel. Channel widths are 0.48, 0.48, 0.48, 0.47, 0.47, 0.46, and 0.44 km s−1 for the NH3 (1,1) to (7,7) lines, respectively, while the corresponding values for the NH3 (2,1) and (3,2) lines are 0.49 and 0.50 km s−1. |
| In the text | |
![]() |
Fig. 4 NH3 spectra of metastable lines at offset (0′′, 0′′) with respect to the reference positions given in Table 1 for W33 Main1 (left panel) and W33 A1 (right panel). The channel widths are 0.48, 0.48, 0.48, 0.47, 0.47, 0.46, and 0.44 km s−1 for the NH3 (1,1) to (7,7) lines, respectively. |
| In the text | |
![]() |
Fig. 5 NH3 spectra of metastable lines at offset (0′′, 0′′) with respect to the reference positions given in Table 1 for W33 B1 (left panel). Nonmetastable lines from W33 Main1, W33 A1, and W33 B1 are shown in the right panel. Channel widths are 0.48, 0.48, 0.48, 0.47, 0.47, 0.46, and 0.44 km s−1 for the NH3 (1,1) to (7,7) lines, respectively, while the corresponding values for the NH3 (2,1) and (3,2) lines are 0.49 and 0.50 km s−1. |
| In the text | |
![]() |
Fig. 6 Integrated intensity maps of NH3 (1,1) (left), (2,2) (middle), and (3,3) (right) for the W33 Main and W33 Main1 regions. The reference position is RA: 18:14:13.50, Dec: −17:55:47.0 (J2000). Theintegration range is 32 to 40 km s−1. Contours start at 3.14 K km s−1 (3σ) on a main beam brightness temperature scale and go up in steps of 3.14 K km s−1. The unit of the color bar is K km s−1. The limits of the mapped region are indicated with gray dashed lines. While the NH3 (1,1) and (2,2) lines show absorption near the reference position, the (3,3) line emission indicates a peak in this region. The half-power beam width is illustrated as a gray filled circle in the lower left corners of the images. |
| In the text | |
![]() |
Fig. 7 Boltzmann plots (rotation diagrams) for the W33 Main absorption lines (top left), W33 A emission lines (top right), W33 B emission lines (second row left), W33 Main1 emission lines (second row right), W33 A1 emission lines (third row left), and W33 B1 emission lines (third row right). The positions taken are those of Table 1. The solid and dashed lines in the top left panel represent the first velocity component at VLSR ~ 33 km s−1 and second velocity component at VLSR ~ 38 km s−1, respectively. For para-NH3, gop = 1. For ortho-NH3, here the (3,3) and (6,6) levels, gop = 2. The rotational temperatures are obtained from the corresponding slopes. The numbers mark the rotational temperatures in K. |
| In the text | |
![]() |
Fig. 8 Map of the kinetic temperature in Kelvin for the W33 regions, obtained from the para-NH3 (2,2)/(1,1) lines. The reference position is RA: 18:14:13.50, Dec: −17:55:47.0 (J2000). Theintegration range is 32 to 40 km s−1. Contours are the same as in the left panel of Fig. 6. The limits of the mapped region over significant parts of ourmap are indicated by gray dashed lines. The half-power beam width is illustrated as a gray filled circle in the lower left corner of the image. |
| In the text | |
![]() |
Fig. A.1 NH3 (1,1) line profiles of inversion transitions of W33 Main and W33 Main1. These are shown on (Δα, Δδ) axes. The zero point is at the position of W33 Main, R.A. : 18:14:13.50, DEC. : -17:55:47.0 (J2000). The X and Y axes indicate Right Ascension Offset (arcsec) and Declination Offset (arcsec), respectively. The main beam temperature scale for the NH3 lines was obtained from continuum cross scans of 3C 286 (see Sect. 2). All radial velocities are on a VLSR scale. At the assumed distance to the complex, ~2.4 kpc, 40′′ is equivalent to 0.5 pc. The individual spectra cover a velocity range of 32 to 38 km s−1 and the ordinate provides main beam brightness temperatures in the range – 2.3 to 4.4 K. |
| In the text | |
![]() |
Fig. A.2 NH3 (2,2) line profiles of inversion transitions of W33 Main and W33 Main1. The individual spectra cover a velocity range of 32 to 38 km s−1 and the ordinate provides main beam brightness temperatures in the range – 1.9 to 3.7 K. |
| In the text | |
![]() |
Fig. A.3 NH3 (3,3) line profiles of inversion transitions of W33 Main and W33 Main1. The individual spectra cover a velocity range of 32 to 38 km s−1 and the ordinate provides main beam brightness temperatures in the range 0.5 to 4.5 K. |
| In the text | |
![]() |
Fig. A.4 NH3 (4,4) line profiles of inversion transitions of W33 Main and W33 Main1. The individual spectra cover a velocity range of 32 to 38 km s−1 and the ordinate provides main beam brightness temperatures in the range – 0.6 to 0.7 K. |
| In the text | |
![]() |
Fig. A.5 NH3 (5,5) line profiles of inversion transitions of W33 Main and W33 Main1. The individual spectra cover a velocity range of 32 to 38 km s−1 and the ordinate provides main beam brightness temperatures in the range – 0.2 to 0.5 K. |
| In the text | |
![]() |
Fig. A.6 NH3 (6,6) line profiles of inversion transitions of W33 Main and W33 Main1. The individual spectra cover a velocity range of 32 to 38 km s−1 and the ordinate provides main beam brightness temperatures in the range – 0.2 to 0.4 K. |
| In the text | |
![]() |
Fig. A.7 Line profiles of inversion transitions of ammonia from W33 A. These are shown on (Δα, Δδ) axes. The zero point is at the position of W33 A, R.A. : 18:14:39.10, DEC. : -17:52:03.0 (J2000). The X and Y axes indicate Right Ascension Offset (arcsec) and Declination Offset (arcsec), respectively. The main beam temperature scale for the NH3 lines was obtained from continuum cross scans of 3C 286 (see Sect. 2). All radial velocities are on a VLSR scale. At the assumed distance to the complex, ~2.4 kpc, 40′′ is equivalent to 0.5 pc. The individual spectra cover a velocity range of 32 to 38 km s−1 and the ordinate provides main beam brightness temperatures in the range – 0.1 to 5.2 K (left panel), – 0.1 to 0.5 K (middle panel), and – 0.1 to 0.5 K (right panel). |
| In the text | |
![]() |
Fig. A.8 Line profiles of inversion transitions of ammonia from W33 B. These are shown on (Δα, Δδ) axes. The zero point is at the position of W33 B, R.A. : 18:13:54.40, DEC. : -18:01:52.0 (J2000). The X and Y axes indicate Right Ascension Offset (arcsec) and Declination Offset (arcsec), respectively. The main beam temperature scale for the NH3 lines was obtained from continuum cross scans of 3C 286 (see Sect. 2). All radial velocities are on a VLSR scale. At the assumed distance to the complex, ~2.4 kpc, 40′′ is equivalent to 0.5 pc. The individual spectra cover a velocity range of 54 to 62 km s−1 and the ordinate provides main beam brightness temperatures in the range – 0.1 to 3.1 K (left panel), – 0.1 to 0.3 K (middle panel), and – 0.1 to 0.3 K (right panel). |
| In the text | |
![]() |
Fig. A.9 Line profiles of inversion transitions of ammonia from W33 B1. These are shown on (Δα, Δδ) axes. The zero point is at the position of W33 B1, R.A. : 18:14:07.10, DEC. : -18:00:45.0 (J2000). The X and Y axes indicate Right Ascension Offset (arcsec) and Declination Offset (arcsec), respectively. The main beam temperature scale for the NH3 lines was obtained from continuum cross scans of 3C 286 (see Sect. 2). All radial velocities are on a VLSR scale. At the assumed distance to the complex, ~2.4 kpc, 40′′ is equivalent to 0.5 pc. The individual spectra cover a velocity range of 32 to 38 km s−1 and the ordinate provides main beam brightness temperatures in the range – 0.1 to 1.3 K (left panel), – 0.1 to 0.3 K (middle panel), and – 0.1 to 0.3 K (right panel). |
| In the text | |
![]() |
Fig. B.1 Uncorrected NH3 (1,1) main line peak intensities against elevation of repeated observations toward the reference position (see Table 1) of the W33 Main central position. The standard deviations of the mean of the flux is about 4.2%. |
| In the text | |
![]() |
Fig. B.2 Top panel: NH3 (3,3) main line peak intensities against elevation of repeated observations toward the reference position of W33 Main (see Table 1). The standard deviations of the mean of the flux density is about 4.4%. Bottom panel: NH3 (3,3) main line peak intensities against the epoch of the observation, also toward the W33 Main peak position. The gray dotted line connects the average Tmb (3,3) values of each day. |
| In the text | |
![]() |
Fig. C.1 Maps of NH3 rotational temperature in units of Kelvin (left), the logarithm of the total-NH3 column density in units of cm−2 (middle), and the corresponding logarithm of the fractional abundance (right). The reference position is R.A. : 18:14:13.50, DEC. : -17:55:47.0 (J2000). The integration range is 32 to 40 km s−1. Contours are the same as in the left panel of Fig. 6. The limits of the mapped region over significant parts of our map are indicated by gray dashed lines. The half-power beam width is illustrated as a gray filled circle in the lower left corner of each image. |
| In the text | |
![]() |
Fig. C.2 Column densities derived from total-N(NH3) vs. the evolutionary sequence of the six W33 source (top left), total fractional NH3 abundance, N(total-NH3)/N(H2), vs. the evolutionary sequence (top right), ortho-to-para ratio of NH3 vs. the evolutionary sequence (bottom left), and gas temperature derived from NH3 vs. the evolutionary sequence (bottom right). For the chosen positions, see Table 1. We note that the ortho-to-para ratio of W33 Main may be affected by systematic errors which cannot be quantified (see Sect. 4.5). |
| In the text | |
Current usage metrics show cumulative count of Article Views (full-text article views including HTML views, PDF and ePub downloads, according to the available data) and Abstracts Views on Vision4Press platform.
Data correspond to usage on the plateform after 2015. The current usage metrics is available 48-96 hours after online publication and is updated daily on week days.
Initial download of the metrics may take a while.




















